Creating a story on the pages of a book about diffuse B-large cell lymphoma
- Issue: Vol 24, No 2 (2022)
- Pages: 150-157
- Section: CLINICAL ONCOLOGY
- Submitted: 15.07.2022
- Accepted: 15.07.2022
- Published: 15.07.2022
- URL: https://modernonco.orscience.ru/1815-1434/article/view/109358
- DOI: https://doi.org/10.26442/18151434.2022.2.201711
- ID: 109358
Cite item
Full Text
Abstract
Within the framework of VI All-Union Congress of Hematologists of Russia and III Congress of Transfusiologists of Russia, the symposium concerning diffuse large B cell lymphoma (DLBCL) was held on April 21. Leading Russian experts discussed current trends in diagnosis, the causes of the failures and successes of the treatment of this heterogeneous disease, the changes that are expected in the very near future. During the symposium, the detailed data concerning the new option for DLBCL therapy – polatuzumab vedotin (immunoconjugate) were also presented. The symposium was supported by Roche.
Full Text
ПРЕДСЕДАТЕЛЬ:
Поддубная Ирина Владимировна – акад. РАН, д-р мед. наук, проф., зав. каф. онкологии и паллиативной медицины им. акад А.И. Савицкого, проректор по учебной работе и международному сотрудничеству ФГБОУ ДПО РМАНПО
СПИКЕРЫ:
Ковригина Алла Михайловна – д-р биол. наук, проф., зав. патологоанатомическим отд-нием ФГБУ «НМИЦ гематологии»
Тумян Гаяне Сепуговна – д-р мед. наук, проф. каф. онкологии и паллиативной медицины им. акад А.И. Савицкого ФГБОУ ДПО РМАНПО, зав. отд-нием химиотерапии гемобластозов ФГБУ «НМИЦ онкологии им. Н.Н. Блохина»
Птушкин Вадим Вадимович – д-р мед. наук, проф., гл. внештат. специалист-гематолог Департамента здравоохранения г. Москвы, зам. глав. врача по гематологии ГБУЗ «ГКБ им. С.П. Боткина»
Открывая симпозиум, академик Ирина Владимировна Поддубная представила актуальные данные, касающиеся распространенности, подходов к диагностике и возможностей терапии диффузной В-крупноклеточной лимфомы (ДВКЛ).
По данным Всемирной организации здравоохранения (ВОЗ), во всем мире отмечается рост и количества случаев злокачественных новообразований (ЗНО), и числа смертельных исходов; прогноз видится неблагоприятным. В 2020 г. специалисты ВОЗ зафиксировали более 544 тыс. новых случаев неходжкинских лимфом, и около 1/2 случаев имели смертельные исходы. Параллельно почти при всех вариантах ЗНО отмечен рост 5-летней общей выживаемости (ОВ): по результатам уникального исследования, в ходе которого анализировали статистические показатели 45-летнего периода наблюдения, ОВ пациентов с ЗНО изменилась с 50,3 до 67% [1]. Наибольшие успехи отмечены в области онкогематологии. Они произошли благодаря расшифровке механизмов канцерогенеза и открытию возможностей таргетной и иммунотерапии. Современные тенденции поиска оптимальной терапии основываются на 2 возможностях: прогнозировании течения болезни с помощью разных оценочных шкал, а также использовании результатов уточнения молекулярных подтипов опухоли у пациента и использовании молекулярных оценочных шкал.
В настоящее время данные о молекулярных особенностях опухоли все больше оказывают влияние на выбор терапии. Особенностью ДВКЛ является чрезвычайная молекулярно-биологическая гетерогенность. Так, иммуногистохимический подтип GCB или non-GCB, экспрессия белков MYС и Bcl-2 (DEL или non-DEL) являются самостоятельными предикторами неблагоприятного течения заболевания, а подтип BN2 ассоциирован с благоприятным прогнозом [2]. Теме уточнения прогноза на основании молекулярно-генетических особенностей опухоли посвящена работа, опубликованная в 2018 г. [3]. Авторы на основании течения болезни выделили 5 кластеров и 1 дополнительную группу (C-MYC+Bcl-2±Bcl-6). Уточнение молекулярно-биологических характеристик первичной опухоли помогает сделать выбор между стандартной и интенсифицированной терапией с момента постановки диагноза. Интенсифицированный вариант лечения, в частности, показан пациентам с выявленной экспрессией белков C-MYC, Bcl-2 и Bcl-6. Информация о характеристиках опухоли в настоящее время также позволяет делать прогноз о 5-летней выживаемости и потенциальных биологических мишенях терапии [4].
В течение долгого времени после введения в практику схемы R-CHOP (ритуксимаб с циклофосфамидом, доксорубицином, винкристином и преднизолоном) в терапии неходжкинских лимфом не отмечалось каких-либо прорывов. Исследователи искали новые агенты и разные комбинации, которые бы могли существенно повлиять на прогноз больных ДВКЛ, но истинных изменений в судьбе пациентов получить не удавалось: исследования комбинаций 1-й линии ДВКЛ, включая высокодозные схемы и новые молекулы, не показали преимуществ перед схемой R-CHOP.
Отсутствие новых подходов отмечалось на фоне острой в них необходимости, поскольку только они могли сохранить жизнь значимой части пациентов с ДВКЛ: около 40% рецидивируют или рефрактерны к текущей стандартной терапии ДВКЛ 1-й линии [5], в то время как пациенты с рецидивом и рефрактерным течением ДВКЛ имеют крайне неблагоприятный прогноз – ОВ составляет в среднем 6 мес [6]. Впервые за последние 20 лет об улучшении ОВ и выживаемости без прогрессирования (ВБП) заговорили в связи с появлением результатов применения иммуноконъюгата полатузумаба ведотина. Это знаковое событие, новый препарат с новым механизмом действия.
Полатузумаб ведотин – таргетный препарат, анти-CD79b иммуноконъюгат для терапии ДВКЛ. Он зарегистрирован в России в 2020 г. для лечения в комбинации с бендамустином и ритуксимабом взрослых пациентов с рецидивирующей/рефрактерной (р/р) ДВКЛ, которые не являются кандидатами на трансплантацию гемопоэтических стволовых клеток. К настоящему времени получены результаты двух исследований – POLARIX и GO29365, в ходе которых исследователи оценивали эффективность и безопасность применения схем с включением полатузумаба ведотина в 1-й и последующих линиях терапии ДВКЛ.
Многообразие ДВКЛ: морфологическая и иммуногистохимическая дифференциальная диагностика
Обзор выступления профессора Аллы Михайловны Ковригиной
Расширение возможностей морфоиммунологических и молекулярных исследований позволило идентифицировать ДВКЛ, неуточненную (NOS), без дополнительного уточнения как самую многообразную, являющуюся источником новых подтипов. Классификация ДВКЛ, в зависимости от используемого диагностического инструмента, включает молекулярные подтипы (GCB-, ABC-, неклассифицируемые), иммуногистохимические подварианты (GCB-, non-GCB-), а также выделяет double-expressor: C-MYC+, Bcl-2+ лимфому.
Кроме того, на сегодняшний день мы знаем, что сущес- твует группа ДВКЛ NOS CD5-позитивных, составляющих 5–10% случаев, и CD30-позитивных ДВКЛ NOS, составляющих 10–20% случаев (MYC-) с достаточно благоприятным прогнозом. Выделена также группа ДВКЛ NOS с экспрессией белка cyclin D1, встречающаяся в 1–15% случаев, значение которой будет уточнено в дальнейшем.
Классификация ВОЗ 2017 г. выделяет как минимум 14 вариантов В-крупноклеточных лимфом (ВКЛ) [7]:
- ДВКЛ, богатая Т-клетками/гистиоцитами;
- первичная ДВКЛ центральной нервной системы;
- первичная кожная ДВКЛ, leg type;
- вирус Эпштейна–Барр (EBV)+ ДВКЛ NOS;
- ДВКЛ, ассоциированная с хроническим воспалением;
- фибрин-ассоциированная ДВКЛ;
- лимфоматоидный гранулематоз III стадии;
- первичная медиастинальная (тимическая) ВКЛ;
- внутрисосудистая ВКЛ;
- ВКЛ, ALK+;
- плазмобластная лимфома;
- первичная лимфома серозных полостей;
- HHV-8+ ДВКЛ, NOS;
- высокоагрессивная B-клеточная лимфома с реаранжировкой MYC и Bcl-2 и/или Bcl-6 (крупноклеточная морфология).
Многообразие и крайне затруднительная дифференциальная диагностика ДВКЛ NOS, требующая использовать разные современные методики, наглядно продемонстрированы на клинических примерах.
Морфологическое, иммуногистохимическое и цитогенетическое исследования в первом представленном случае позволило провести дифференциальную диагностику с мантийноклеточной лимфомой и классифицировать диагноз как ДВКЛ, non-GCB-тип, CD5+, CyclinD1+, комплексный кариотип с делецией гена TP53. Это действительно крайне редкая ситуация, еще в 2008 г. описаны случаи с экспрессией белка CyclinD1, в большинстве клеток без реаранжировки гена CyclinD1. В 2014 г. проанализированы данные по клиническому течению заболевания и не выявлено различий между ДВКЛ CyclinD1+ и CyclinD1-. В последние годы появляются редкие данные о том, что эта проблема действительно актуальна, обсуждается возможное выделение лимфомы серой зоны между плеоморфным вариантом мантийноклеточной лимфомы и ДВКЛ или выделение нового варианта Double-hit лимфомы. Описаны случаи ДВКЛ с реаранжировкой генов bcl-2 и bcl-6, причем это не композитная лимфома, она не содержит новых морфологических участков, это единый субстрат.
Другой клинический случай столь же сложен с позиций дифференциально-диагностического ряда и включал фолликулярную лимфому педиатрического типа, фолликулярную лимфому цитологического типа 3В и ВКЛ с реаранжировкой IRF4. В такой ситуации необходимо проведение FISH-исследования: R-Bcl-6, R-IRF4, R-Bcl-2.
Морфологический субстрат в третьем примере представлен картиной «звездного неба», но при этом исключительно крупноклеточной морфологией. Выявлена реаранжировка гена MYC. Такая лимфома, с беркиттоподобной визуальной картиной, но при этом крупноклеточной морфологией, оказалась ДВКЛ типа GCB, с высокой пролиферативной активностью, single hit MYC-R, которая составляет менее 1% случаев.
Субстрат опухоли четвертого представленного пациента состоял из крупных клеток, с лимфоплазмоцитарной инфильтрацией, активным микроокружением. В этом случае речь шла о ДВКЛ NOS EBV-позитивной, морфологические характеристики которой отличались при первичной диагностике и при повторной биопсии в рецидиве.
Представленные проф. А.М. Ковригиной клинические примеры ярко и наглядно демонстрируют многообразие ДВКЛ NOS, сложности дифференциальной диагностики и открывают возможности дальнейшей систематизации накопленных знаний.
Появление иммуноконъюгатов. Полатузумаб ведотин в терапии на этапе рецидива или рефрактерности ДВКЛ
Обзор выступления профессора Гаяне Сепуговны Тумян
Проф. Г.С. Тумян начала свое выступление с клинического случая.
Пациент 38 лет, в апреле 2017 г. диагностирована ДВКЛ IIIA стадии, тип non-GCB. Коэкспрессия белков не выявлена, индекс пролиферативной активности Ki67 ~70%. По позитронно-эмиссионной томографии/компьютерной томографии (ПЭТ/КТ) – распространенный процесс по обе стороны диафрагмы. Все укладывалось в картину «классической» ДВКЛ. Пациент входит в группу промежуточного риска, оснований для интенсификации лечения нет.
- 1-я линия терапии (06–10.2017) – стандартное лечение в виде 6 циклов R-CHOP. В марте 2018 г. развился ранний рецидив заболевания.
- 2-я линия терапии (04–05.2018) – 3 цикла R-IGEV. В июне 2018 г. по данным ПЭТ/КТ незначительное уменьшение размеров и метаболической активности и появление нового забрюшинного лимфоузла (л/у).
- 3-я линия терапии (08–09.2018) – 2 цикла R-DHAP. По ПЭТ/КТ от 11.2018 появление новых зон вовлечения в надключичных л/у слева, в печени.
- 4-я линия терапии (01–03.2019) – 2 цикла R-ICE. По ПЭТ/КТ от 04.2019 полный метаболический ответ с наличием резидуальных забрюшинных л/у. В мае 2019 г. провели мобилизацию и сбор гемопоэтических стволовых клеток крови и подготовку к высокодозной химиотерапии с аутологичной трансплантацией гемопоэтических стволовых клеток (ВДХТ с аутоТГСК). В июне 2019 г. – прогрессирование с поражением забрюшинных л/у.
- 5-я линия терапии (07–09. 2019) – 3 цикла R2 (леналидомид + ритуксимаб). По ПЭТ/КТ от 10.2019 выявлено увеличение размеров и накопление радиофармпрепаратов в забрюшинных л/у.
Выбор дальнейшей тактики лечения в такой ситуации – трудная задача. Применение иммуноконъюгата может рассматриваться в качестве возможной опции.
- 6-я линия терапии (06–10.2020) – 6 циклов полатузумаба ведотина (Pola) + бендамустина + ритуксимаба (Pola+BR). Получен полный метаболический ответ. Далее по решению экспертов пациент получил еще 2 дополнительных введения полатузумаба ведотина в монорежиме в ноябре и декабре 2020 г. В марте 2021 г. проведена ВДХТ с аутоТГСК без значимых осложнений. К апрелю 2022 г. сохраняется полный метаболический ответ (18 мес+).
Иммуноконъюгаты (антитело-лекарственные конъюгаты) – это отдельная группа препаратов, которые состоят из трех основных компонентов – моноклонального антитела (МКА), линкера и цитотоксического агента (рис. 1). Иммуноконъюгаты осуществляют доставку высокоцитотоксических агентов непосредственно к опухолевым клеткам, не затрагивая другие делящиеся клетки в организме. Способ сборки компонентов также имеет решающее значение для эффективности препарата. МКА связывается со специфическими белками, входящими в состав рецептора на поверхности опухолевых клеток, и запускает процесс внедрения в них цитотоксического агента, который обладает выраженным противоопухолевым действием в сочетании с высокой токсичностью, которая не позволяет применять его в монорежиме.
Рис. 1. Структура иммуноконъюгата. Антитело-линкер-цитотоксический компонент.
Благодаря такому процессу достигается максимальная гибель опухолевых клеток, в то время как воздействие на нормальные клетки сводится к минимуму. В отличие от традиционной химиотерапии (ХТ), действующей неизбирательно и поражающей в том числе здоровые клетки, антитело-лекарственные конъюгаты нацелены на конкретные клетки – молекулярные мишени. Целью применения иммуноконъюгатов является значительное увеличение терапевтического окна по сравнению с ХТ и лучевой терапией. Каждый из компонентов структуры иммуноконъюгата, а также соответствующий опухолевый антиген (АГ) должны соответствовать определенным характеристикам.
Требования к АГ:
- Не должен экспрессироваться на других органах и тканях (уменьшение нецелевой токсичности).
- Должен быть опухоль-специфичным.
- Плотность на опухоли должна быть высокой (примерно 10×3–10×9).
- После связывания должна произойти быстрая интернализация АГ – открепление (эндоцитарные свойства мишени).
- Должен иметь минимальную секрецию в кровотоке.
- Может не обладать какой-либо функциональной активностью (хотя такие свойства способны давать дополнительные терапевтические преимущества).
В настоящее время существует несколько АГ-мишеней, являющихся привлекательными для создания к ним МКА и иммуноконъюгатов в контексте терапии злокачественных лимфом. К ним относятся, в частности, CD19, CD22 и CD79b, у которых высока частота экспрессии на поверхности В-клеток при ДВКЛ.
Требования к МКА:
- Должно иметь высокую аффинность.
- Химерное, лучше гуманизированное.
- Желательно, чтобы МКА не относилось к субклассу IgG3 – для обеспечения быстрого клиренса.
Линкер является связующим звеном между МКА и цитотоксическим агентом. Требования к линкеру:
- Должен быть стабильным при циркуляции, эффективно высвобождаться после интернализации, чтобы цитотоксический агент начал работать.
- Расщепляемые линкеры содержат сайт, расположенный между препаратом и местом прикрепления МКА, где происходит расщепление; расщепление может происходить по-разному (гидролиз, ферментативное расщепление амидных связей или восстановительное расщепление дисульфидных связей). Эти процессы происходят в эндосомах или лизосомах.
- Нерасщепляемые линкеры более стабильны при циркуляции, требуют полной лизосомальной протеолитической деградации МКА для высвобождения препарата.
Требования к цитотоксическому агенту:
- Должен обладать цитотоксической активностью в субнаномольном диапазоне.
- Должен содержать функциональную группу, обеспечивающую успешную конъюгацию с АГ.
- Должен быть растворимым и стабильным в физиологических условиях.
Ингибиторы полимеризации тубулина и ДНК-повреждающие агенты – это варианты цитотоксических агентов. К ингибиторам полимеризации тубулина относятся монометил- ауристатин Е (ММАЕ) и F (MMAF). ММАЕ является мембранопроницаемым, что позволяет ему диффундировать в межклеточное пространство и поражать соседние с опухолью клетки («уничтожение свидетеля»). Поскольку MMAF более гидрофилен и плохо проникает через мембраны, его эффективность ниже. К ДНК-повреждающим агентам относятся мощные противоопухолевые синтетические антибиотики – дуокармицин, калихеамицин, пирролобензодиабепин.
В настоящее время ведутся клинические исследования четырех иммуноконъюгатов для лечения В-клеточных опухолей. Мишенью брентуксимаба ведотина является АГ CD30. Этот препарат зарегистрирован для лечения р/р CD30+ лимфомы Ходжкина и р/р анапластической крупноклеточной лимфомы1. АГ CD19 является мишенью исследуемого препарата лонкастуксимаб тесирин. CD19 относится к привлекательным мишеням, поскольку он экспрессируется на всех этапах дифференцировки В-клеток. В настоящее время этот препарат еще не зарегистрирован. Мишень инотузумаба озогамицина – АГ CD22. Этот препарат зарегистрирован для лечения пациентов с р/р СD22+ В-клеточным острым лимфобластным лейкозом из клеток-предшественников2. Мишень CD79b является перспективной для разработки терапии при ДВКЛ, поскольку широко распространена – встречается на более чем 95% В-клеток. Полатузумаб ведотин – иммуноконъюгат анти-CD79b МКА с ММАЕ для лечения ДВКЛ – стал поводом для более развернутого дальнейшего рассказа в ходе симпозиума.
Полатузумаб ведотин – CD79b-таргетный антитело-лекарственный конъюгат, который доставляет мощный антимитотический агент MMAE к В-клеткам, что приводит к гибели опухолевых клеток. Молекула полатузумаба ведотина состоит из ММАЕ, ковалентно связанного с гуманизированным МКА (IgG1) посредством расщепляемого линкера. МКА обладает высокой аффинностью и селектив- ностью к CD79b, который расположен на поверхности рецепторов B-клеток (CD79b экспрессируется в более чем 95% случаев ДВКЛ). Механизм действия иммуноконъюгата понятен (рис. 2). Полатузумаб ведотин взаимодействует с CD79b-компонентом В-клеточного рецептора, присутствующим исключительно на В-клетках, и погружается в клетку. Линкер расщепляется, что обеспечивает поступление ММАЕ внутрь клетки, и, в свою очередь, связывается с микротрубочками. ММАЕ ингибирует полимеризацию микротрубочек, что приводит к гибели делящихся клеток путем ингибирования процесса деления клеток и индуцирования апоптоза.
Рис. 2. Механизм действия полатузумаба ведотина3 [8–12].
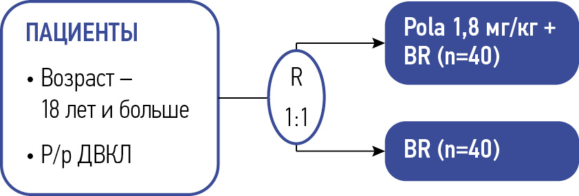
Проф. Г.С. Тумян представила результаты исследования II фазы GO29365, целью которого явилось сопоставление эффективности и без- опасности комбинации Pola+BR и схемы BR при р/р ДВКЛ. Первые результаты исследования опубликованы в 2020 г. [13]. Первичная конечная точка (II фаза): частота полного ответа по данным ПЭТ в соответствии с модифицированными критериями Лугано.
Пациенты рандомизированы в 2 группы (рис. 3). Полатузумаб ведотин в дозе 1,8 мг/кг в комбинации с BR в сравнении с терапией только BR увеличил более чем в 2,5 раза ВБП и более чем в 2 раза ОВ (рис. 4, 5). CD79b экспрессируется практически на всех В-лимфоцитах, он является универсальной мишенью. Поэтому иммуноконъюгат с анти-CD79b эффективен как при АВС-, так и при GCB-типе ДВКЛ, т.е. возможность его применения не зависит от клеточного происхождения опухоли и не требует предварительного тестирования или молекулярных исследований. Общий ответ в группе полатузумаба ведотина + BR достоверно выше по сравнению с группой BR (рис. 6).
Рис. 3. GO29365: дизайн исследования II фазы [13].
Рис. 4. GO29365: влияние полатузумаба ведотина на ВБП [13].
Рис. 5. GO29365: влияние полатузумаба ведотина на ОВ [13].
Рис. 6. GO29365: эффективность терапии в зависимости от клеточного происхождения опухоли [13].
В исследовании II фазы GO29365 у комбинации Pola+BR установлен приемлемый профиль безопасности (табл. 1). Имеют место умеренные гематологическая токсичность, фебрильная нейтропения. Собственный опыт применения полатузумаба ведотина экспертом подтверждает эти данные: препарат хорошо переносится, нейтропения хорошо корригируется с помощью применения колониестимулирующих факторов.
Таблица 1. GO29365: установлен приемлемый профиль безопасности комбинации Pola+BR при р/р ДВКЛ [13] Table 1. The GO29365 trial: showed acceptable safety profile of the combination of Pola and BR in patients with R/R DLBCL [13] | ||
Нежелательные явления 3–4-й степени, % | Pola+BR (n=39) | BR (n=39) |
Анемия | 28 | 18 |
Нейтропения | 46 | 33 |
Тромбоцитопения | 41 | 23 |
Фебрильная нейтропения | 10 | 13 |
Периферическая нейропатия | 0 | 0 |
Инфекции | 23 | 20 |
В 2022 г. опубликованы данные ответа на терапию Pola+BR в расширенной когорте пациентов (n=152) [14]. Анализ подгрупп в когортном исследовании также показал эффективность комбинации полатузумаба ведотина с BR в разных популяциях пациентов, включая пациентов высокого риска, вне зависимости от количества ранее проведенных линий терапии. Результаты, опубликованные в 2020 и 2022 г., сопоставимы: у группы Pola+BR частота объективного ответа и медиана длительности ответа совпали (табл. 2). По мнению проф. Г.С. Тумян, результаты, полученные в клиническом исследовании, соответствуют реальной клинической практике.
Таблица 2. GO29365: данные ответа на терапию [14] Table 2. The GO29365 trial: the response data for therapy [14] | ||||
Общие данные ответа, n (%), если не указано иное | Рандомизированная когорта | Расширенная когорта Pola+BR (n=106) | Объединенная группа Pola+BR* (n=152) | |
BR (n=40) | Pola+BR (n=40) | |||
Частота объективного ответа | 7 (17,5) | 17 (42,5) | 44 (41,5) | 64 (42,1) |
Полный ответ | 7 (17,5) | 17 (42,5) | 41 (38,7) | 61 (40,1) |
Наилучший объективный ответ | 10 (25,0) | 25 (62,5) | 60 (56,6) | 88 (57,9) |
Наилучший полный ответ | 9 (22,5) | 21 (52,5) | 56 (52,8) | 80 (52,6) |
Медиана длительности ответа, мес (95% доверительный интервал) | 10,6 (4,0–19,6) | 10,9 (5,7–40,7) | 9,5 (7,9–12,1) | 10,3 (8,6–14,6) |
*Частота ответов в расширенной когорте соответствовала рандомизированной группе Pola+BR; 10 (25%) пациентов из рандомизированной когорты Pola+BR имели длительность ответа (DOR)>25 мес (диапазон 26–49 мес). | ||||
Вернувшись к клиническому случаю пациента 38 лет с р/р ДВКЛ, у которого после применения 6-й линии терапии, включавшей комбинацию полатузумаб ведотин + BR, достигнута стойкая ремиссия и получена возможность аутотрансплантации, проф. Г.С. Тумян отметила, что в настоящее время в рекомендациях Национальной комплексной онкологической сети полатузумаб ведотин также рассматривается в качестве мостика между медикаментозной терапией и аутологичной или аллогенной трансплантацией.
Это связано с эффективностью и низкой токсичностью препарата, он дает возможность выиграть время, для того чтобы подвести больного к следующему этапу лечения. Сейчас полатузумаб ведотин зарегистрирован в комбинации с бендамустином и ритуксимабом для лечения взрослых пациентов с р/р ДВКЛ, которые не являются кандидатами на трансплантацию гемопоэтических стволовых клеток. И чем раньше, с точки зрения линий терапии, начать использовать полатузумаб ведотин, тем большее число полных ремиссий достигается и длительнее эффект от терапии согласно данным исследований и реальной практики.
Представляют интерес и перспективные будущие возможности в лечении ДВКЛ. К ним относятся:
- иммуноконъюгат лонкастуксимаб тезирин (конъюгат CD19 с пирролобензодиабепином) – еще изучается;
- МКА: анти-CD19(IgG1) гуманизированное МКА тафаситамаб (MOR208) – активно изучается;
- биспецифические антитела: анти-CD3/CD20 МКА мосунетузумаб, глофитамаб, эпкоритамаб;
- CAR-T-клеточная терапия.
Подводя итоги, профессор Г.С. Тумян перечислила следующие важные положения:
- Больные с рецидивом ДВКЛ имеют крайне неблагоприятный прогноз.
- Стандартом 2-й линии терапии у молодых является ВДХТ с аутоТГСК, но выполнить ее удается менее чем у 30% больных, при этом 3-летняя бессобытийная выживаемость в неблагоприятной группе составляет примерно 20%.
- В случае рецидива после аутоТГСК или невозможности ее выполнения реальных терапевтических опций не было долгое время. Новые препараты и клеточные технологии или только проходят исследования, или недос- тупны в Российской Федерации (CAR-T-клеточная терапия).
- Иммуноконъюгаты демонстрируют высокую эффективность и низкую токсичность, что позволяет их рассматривать как платформу для будущих комбинаций в терапии ДВКЛ.
- Полатузумаб ведотин представляется эффективным, обладающим управляемым профилем безопасности и доступным препаратом, который может изменить стандарты лечения рецидивов ДВКЛ.
Первая линия терапии ДВКЛ. Что нас ждет
Обзор выступления проф. Вадима Вадимовича Птушкина
Начало выступления было посвящено ретроспективе терапии ДВКЛ и поиска новых решений, позволяющих улучшить перспективы больных. В истории терапии ДВКЛ за последние десятилетия имели место два крупных успеха: разработка в 1960-х гг. схемы CHOP, на фоне применения которой долговременная выживаемость составляла около 30%, и использование ритуксимаба, дополнение которого к схеме CHOP подняло долговременную выживаемость пациентов еще примерно на 25%.
За последние 20 лет предприняты многочисленные попытки разработать новые препараты и добавить к схеме R-CHOP новые агенты (обинутузумаб, леналидомид, ибрутиниб) в терапии 1-й линии ДВКЛ, однако исследования не продемонстрировали существенных преимуществ. Причина неуспеха кроется в высокой гетерогенности ДВКЛ. Расшифровка большинства поломок стала возможной благодаря современным возможностям исследования структуры ДНК. Было как минимум 3 попытки формирования кластеров из полученных данных: по путям активации, по поломкам, по дефектам конкретных генов. Группы исследователей из Великобритании и США получили сходные результаты по кластеризации основных клеточных поломок и путей активации. Оказалось, что внутри кластеров чувствительность к терапии сильно разнится, есть благоприятные и неблагоприятные подтипы.
Стало также понятно, что применение таргетных препаратов с учетом активации конкретного патологического пути при конкретном подтипе может повысить эффективность терапии. При этом важно не только выбирать препараты исходя из конкретного подтипа опухоли, но и комбинировать их прецизионным образом. Впервые этот подход при ДВКЛ опробован китайскими учеными в исследовании Guidance-01 [15]. Это первое исследование II фазы, учитывающее генетические подтипы и дополняющее стандартную терапию R-CHOP таргетным препаратом, исходя из потенциального эффекта. Полученные результаты сопоставлялись с историческими данными. Пять режимов R-CHOP-Х способны привести к стойкой ремиссии с управляемыми побочными эффектами. Исследование достигло первичной конечной точки – полного ответа, однако подбор терапии был достаточно сложным, поскольку учитывалось множество параметров.
Более простой путь – это, например, использование в перспективе CAR-Т-терапии, направленной на АГ CD19. В исследовании II фазы ZUMA-12 аксикабтагена силолейсела в 1-й линии терапии пациентов с ВКЛ высокого риска удалось достичь почти 90% уровня объективного ответа, 78% полных ремиссий, неплохого результата беспрогрессивной выживаемости и ОВ, при том что в исследование включили пациентов сверхнеблагоприятного прогноза [16]. Часть пациентов погибли в результате прогрессии заболевания и развития нежелательных явлений: CAR-Т-терапия имеет существенную токсичность.
Альтернативный вариант – это применение при ДВКЛ биспецифических антител, которые воздействуют на разные активные иммунные клетки. Особенностью биспецифических антител является способность соединять АГ на опухолевой клетке не только с лимфоцитами, которых недостаточно, но и с макрофагами, Т-лимфоцитами, NK-клетками, гранулоцитами. Важно, что биспецифические антитела могут комбинироваться со стандартной ХТ.
На текущий момент CAR-Т-клеточная терапия и биспецифические антитела не зарегистрированы на территории РФ.
Иммуноконъюгаты в терапии 1-й линии ДВКЛ
Активно обсуждаемый в последние годы вариант 1-й линии терапии – это добавление полатузумаба ведотина к стандартной терапии. Для уточнения эффекта пациентам с ДВКЛ проводят исследование III фазы POLARIX [17]. Это большое (почти 900 пациентов) международное рандомизированное двойное слепое плацебо-контролируемое исследование III фазы, дизайн которого приведен на рис. 7. Представительство и сопоставимость по факторам риска в группах пациентов одинаковы. Важно, что впервые за долгие годы получено четкое статистически значимое снижение риска прогрессирования, рецидива или смерти на 27% (рис. 8).
Рис. 7. POLARIX: дизайн исследования [17].
Рис. 8. POLARIX: ВБП по оценке исследователей [17].
Ранее при терапии самыми разными таргетными препаратами такого эффекта достичь не удавалось. Очень важно, что переносимость в группе полатузумаба ведотина + R-CHP оказалась лучше, чем в группе R-CHOP, а профиль безопасности в обеих группах сопоставим (табл. 3). Однофакторный анализ исследования POLARIX показал, что все группы пациентов имеют преимущество от комбинации полатузумаб ведотин + R-CHP (Pola-R-CHP): улучшение показателей ответа и выживаемости, независимо от подтипа опухоли и молекулярного профиля.
Таблица 3. POLARIX: профиль безопасности Table 3. The POLARIX trial: safety profile | ||
Нежелательные явления, абс. (%) | Pola-R-CHP (n=435) | R-CHOP (n=438) |
Нежелательные явления любой степени тяжести | 426 (97,9) | 431 (98,4) |
Нежелательные явления 3–4-й степени тяжести | 251 (57,7) | 252 (57,5) |
Серьезные нежелательные явления | 148 (34,0) | 134 (30,6) |
Нежелательные явления 5-й степени | 13 (3,0) | 10 (2,3) |
Нежелательные явления, ведущие к отмене терапии: | ||
· любое лечение | 27 (6,2) | 29 (6,6) |
· полатузумаб ведотин/винкристин | 19 (4,4) | 22 (5,0) |
Нежелательные явления, приведшие к снижению дозы (любое лечение) | 40 (9,2) | 57 (13,0) |
Примечание. Профиль безопасности сопоставим в группах. Меньше нежелательных явлений, ведущих к снижению дозы, наблюдалось в группе Pola-R-CHP. | ||
Основным выводом исследования стало обоснование использования схемы Pola-R-CHP у первичных пациентов с ДВКЛ.
В.В. Птушкин привел мнение главного исследователя POLARIX проф. Херве Тилли: «ДВКЛ является агрессивным заболеванием, и, несмотря на непрерывные исследовательские усилия, за последние 20 лет на передовой достигнуты ограниченные успехи в лечении. Результаты исследования POLARIX представляют собой важный прогресс, дающий надежду людям с этим заболеванием». Преимущества в 1-й линии терапии ДВКЛ, вероятно, более позитивно повлияют на нагрузку, связанную с болезнью, а также исходы дальнейшей терапии.
Заканчивая свое выступление, проф. В.В. Птушкин перечислил следующие ключевые позиции:
- По-прежнему существует значительная неудовлетворенная потребность в 1-й линии ДВКЛ: примерно 60% пациентов излечиваются, но все еще примерно 40% рецидивируют или рефрактерны к текущей терапии.
- Важнейший фактор успеха в достижении целей лечения – использовать наиболее эффективные препараты уже в 1-й линии терапии ДВКЛ.
- POLARIX (Pola+R-CHP) – это первое за 20 лет исследование, показавшее пользу по сравнению с R-CHOP без дополнительной токсичности, что потенциально может переопределить стандарт терапии 1-й лини ДВКЛ.
- Продолжаются исследования новых классов препаратов: иммуноконъюгатов, биспецифических антител, CAR-T-терапии.
Подводя итоги заседания, академик И.В. Поддубная отметила, что многие возможности сегодняшнего дня пока еще находятся на уровне научного и клиничес- кого интереса, в I и II фазах клинических исследований. В то же время существует реальная возможность пересмотреть стандарты терапии ДВКЛ и включить в нее препарат из нового класса иммуноконъюгатов. Полатузумаб ведотин зарегистрирован по показаниям – рецидив и рефрактерные формы ДВКЛ, а результаты исследования POLARIX могут служить основанием для расширения показаний к применению полатузумаба ведотина у ранее нелеченных больных.
1Согласно инструкции по медицинскому применению препарата Адцетрис в РФ. Режим доступа: https://www.rlsnet.ru/drugs/adcetris-77098. Ссылка активна на 25.05.2022.
2Согласно инструкции по медицинскому применению препарата инотузумаб озогамицин в РФ. Режим доступа: https://www.rlsnet.ru/active-substance/inotuzumab-ozogamicin-3932. Ссылка активна на 25.05.2022.
3Инструкция по медицинскому применению препарата полатузумаб ведотин, ЛП-006599. Режим доступа: https://www.roche.ru/content/dam/rochexx/roche-ru/roche_russia/ru_RU/Instructions/polivy-2021-05-25.pdf/ Ссылка активна на 25.05.2022.
Supplementary files











