NGAL и KIM-1 – ранние мочевые биомаркеры нефротоксичности, опосредованной цисплатином: обсервационное исследование
- Авторы: Гречухина К.С.1,2, Чеботарева Н.В.1,3, Жукова .Г.2, Дорофеев А.С.2, Краснова Т.Н.1
-
Учреждения:
- ФГБОУ ВО «Московский государственный университет им. М.В. Ломоносова»
- ГБУЗ «Московский клинический научно-практический центр им. А.С. Логинова» Департамента здравоохранения г. Москвы
- ФГАОУ ВО «Первый Московский государственный медицинский университет им. И.М. Сеченова» Минздрава России (Сеченовский Университет)
- Выпуск: Том 24, № 1 (2022)
- Страницы: 119-124
- Раздел: КЛИНИЧЕСКАЯ ОНКОЛОГИЯ
- Статья получена: 16.11.2021
- Статья опубликована: 30.04.2022
- URL: https://modernonco.orscience.ru/1815-1434/article/view/88111
- DOI: https://doi.org/10.26442/18151434.2022.1.201285
- ID: 88111
Цитировать
Полный текст
Аннотация
Обоснование. Цисплатин широко используется в современной онкологической практике. Несмотря на высокую эффективность, лечение цисплатином сопряжено с высоким риском нефротоксичности, приводя к нарушению функции почек у 1/3 пациентов уже после первого введения. В рутинной практике маркером нарушения функции почек считается повышение уровня сывороточного креатинина, которое наблюдается при утрате 50% функции почек, в связи с чем поиск раннего маркера нефротоксичности остается актуальным. NGAL и KIM-1 – маркеры почечного повреждения, прогностическая ценность которых описана в кардиохирургической и реаниматологической практике: повышение концентрации этих маркеров в моче предшествует развитию почечного повреждения как ишемического, так и прямого токсического.
Цель. Оценить значимость NGAL и KIM-1 в моче в качестве ранних маркеров нефротоксичности цисплатина.
Материалы и методы. В исследование вошли 50 пациентов, получавших терапию цисплатином в комбинации с фторпиримидинами или паклитакселом. До начала лечения и в динамике в течение 8 нед с помощью критерия Фридмана оценивали артериальное давление, уровень креатинина, калия, мочевины в плазме крови, суточной протеинурии, уровень NGAL и KIM-1 в моче, скорость клубочковой фильтрации (СКФ). Для оценки прогностической значимости NGAL и KIM-1 в развитии нефротоксичности использовали ROC-анализ.
Результаты. Отмечено статистически значимое нарастание уровня мочевины (χ²=17,7; df 4, p=0,001), калия (χ²=42; df 4, p<0,001), снижение СКФ (χ²=32,3; df 4, p<0,001), появление протеинурии (χ²=50,4; df 4, p<0,001). Концентрация NGAL и KIM-1 повышалась уже через неделю после начала терапии цисплатином, достигая максимума к 8-й неделе (χ²=200; df 4, p<0,001). Появление NGAL в концентрации 10,743 нг/мл и KIM-1 в концентрации 182,4 пг/мл на первой неделе от введения цисплатина позволяет предсказать развитие нефротоксичности к 8-й неделе с высокой чувствительностью (90,91%) и специфичностью (94,87%), AUC 0,96.
Заключение. Появление NGAL и KIM-1 в моче уже на первой неделе лечения позволяет предсказать развитие нефротоксичности – снижение СКФ менее 60 мл/мин к 8-й неделе терапии с высокой чувствительностью и специфичностью. Оба биомаркера могут рассматриваться как ранние прогностически значимые.
Ключевые слова
Полный текст
Введение
Цисплатин представляет собой противоопухолевый препарат на основе платины, который широко используется на протяжении 40 лет в составе схем лечения злокачественных опухолей различных локализаций: рака яичка, опухолей головы и шеи, рака шейки матки, немелкоклеточного и мелкоклеточного рака легкого и т.д. [1].
Механизм действия цисплатина базируется на осуществлении прямого цитостатического эффекта. После либо осуществления пассивной диффузии, либо попадания в клетку через транспортер меди CTR1 молекула препарата образует внутрицепочечные и межцепочечные «сшивки» внутри молекулы ДНК [2, 3].
Несмотря на высокую эффективность цисплатина в отношении опухолевых клеток, остаются два фактора, ограничивающие применение этого препарата в рутинной клинической практике: приобретенная резистентность и нежелательные явления, одним из которых является нефротоксичность [4]. Она описана на заре применения цисплатина в онкологической практике и до настоящего времени остается крайне значимой, поскольку встречается приблизительно у 30% пациентов, получивших одно введение препарата в дозе 50–100 мг/м² [1]. В ряде случаев повреждение почек на фоне терапии цисплатином является необратимым и лимитирует последующее применение химиопрепаратов в лечении пациентов, что является критически важным для их жизненного прогноза [1, 5]. Как правило, нефротоксичность проявляется снижением уровня скорости клубочковой фильтрации (СКФ), повышением уровня сывороточного креатинина и развитием протеинурии [6, 7].
Именно поэтому крайне важен поиск ранних биомаркеров, которые бы позволили прогнозировать развитие снижения СКФ до того, как повреждение почек станет необратимым. На текущий момент в качестве биомаркеров используется уровень сывороточного креатинина, однако он не может считаться «идеальным» и «ранним» биомаркером, поскольку повышение креатинина в плазме крови происходит после утраты около 50% функции почек [8].
По данным мировой литературы, мочевые биомаркеры NGAL (липокалин, ассоциированный с желатиназой нейтрофилов) и KIM-1 (молекула повреждения почек-1) могут расцениваться как многообещающие и потенциально актуальные в диагностике раннего почечного повреждения при проведении химиотерапии цисплатином. Показано, что экспрессия NGAL повышается в дистальных сегментах нефрона сразу же после ишемического или прямого токсического повреждения ткани почки [9–11]. Увеличение его концентрации прямо коррелирует с уровнем сывороточного креатинина, но при этом скорость нарастания значительно превышает таковую у креатинина. В настоящее время опубликованы данные, которые демонстрируют значимость NGAL как маркера острого почечного повреждения (ОПП) в кардиологической и реаниматологической практике [12–13].
Уровень KIM-1 в моче в свою очередь повышается либо при развитии ишемического повреждения, либо вследствие прямого нефротоксического действия [14]. Уже через 48 ч после реперфузионного повреждения можно обнаружить увеличение экспрессии KIM-1 в клетках проксимальных канальцев нефрона [15].
Цель исследования – оценить значимость NGAL и KIM-1 в моче в качестве ранних маркеров нефротоксичности цисплатина.
Проведение исследования было одобрено на заседании локального этического комитета при ГБУЗ «МКНЦ им. А.С. Логинова» (протокол №2/2020 от 17.02.2020).
Материалы и методы
В исследование вошли 50 пациентов,48% (24) мужчин и 52% (26) женщин, получавших химиотерапию цисплатином в комбинации с химиопрепаратами, не обладающими выраженной нефротоксичностью: 5-фторурацил – 24% (n=12), капецитабин – 10% (5), паклитаксел – 66% (33). В исследование включались пациенты с различными локализациями опухолей (по Международной классификации болезней 10-го пересмотра): рак носо- и ротоглотки – 22% (11), рак гортани – 18% (9), рак пищевода – 10% (5), рак желудка – 20% (5), рак молочной железы – 32% (16), рак шейки матки – 8% (4). Медиана возраста пациентов составила 49 [24–75] лет. Критерием исключения стало исходное снижение расчетной СКФ (рСКФ) менее 60 мл/мин/1,73 м² по формуле CKD-EPI.
Оценивали пол, возраст больных, индекс массы тела, наличие артериальной гипертензии до лечения, тип препарата-компаньона, локализацию опухоли.
Среди лабораторных параметров оценивали общий анализ крови (с определением гемоглобина – Hb и числа тромбоцитов), креатинин сыворотки крови с расчетом СКФ CKD-EPI, уровень суточной протеинурии, мочевины сыворотки крови. В моче c помощью иммуноферментного анализа определяли концентрацию NGAL и KIM-1. Все показатели изучали до начала лечения и в динамике в следующих временных точках: через 1 нед от первого введения препарата (1w),2 нед (2w),4 нед (4w),8 нед (8w).
Статистический анализ проводили с помощью программы Jamovi (версия 2.0.0). При анализе выборки в связи с ненормальным распределением лабораторных и клинических показателей для статистической обработки использовали непараметрический критерий Фридмана. Для попарного анализа выборок использовали критерий Дарбина–Коновера. Для сравнения несвязанных выборок (анализ влияния препарата-компаньона или локализации опухоли) использовали непараметрический критерий Краскела–Уоллиса. Корреляционный анализ проводили с помощью непараметрической корреляции Спирмена. За статистически значимую разницу принимали значение p<0,005.
Для оценки информативности NGAL и KIM-1 в моче в качестве ранних биомаркеров нефротоксичности применен ROC-анализ, позволяющий оценить чувствительность и специфичность тестов с определением точки «отсечения». Сравнение ROC-кривых проводили с помощью оценки площади под кривыми – AUC.
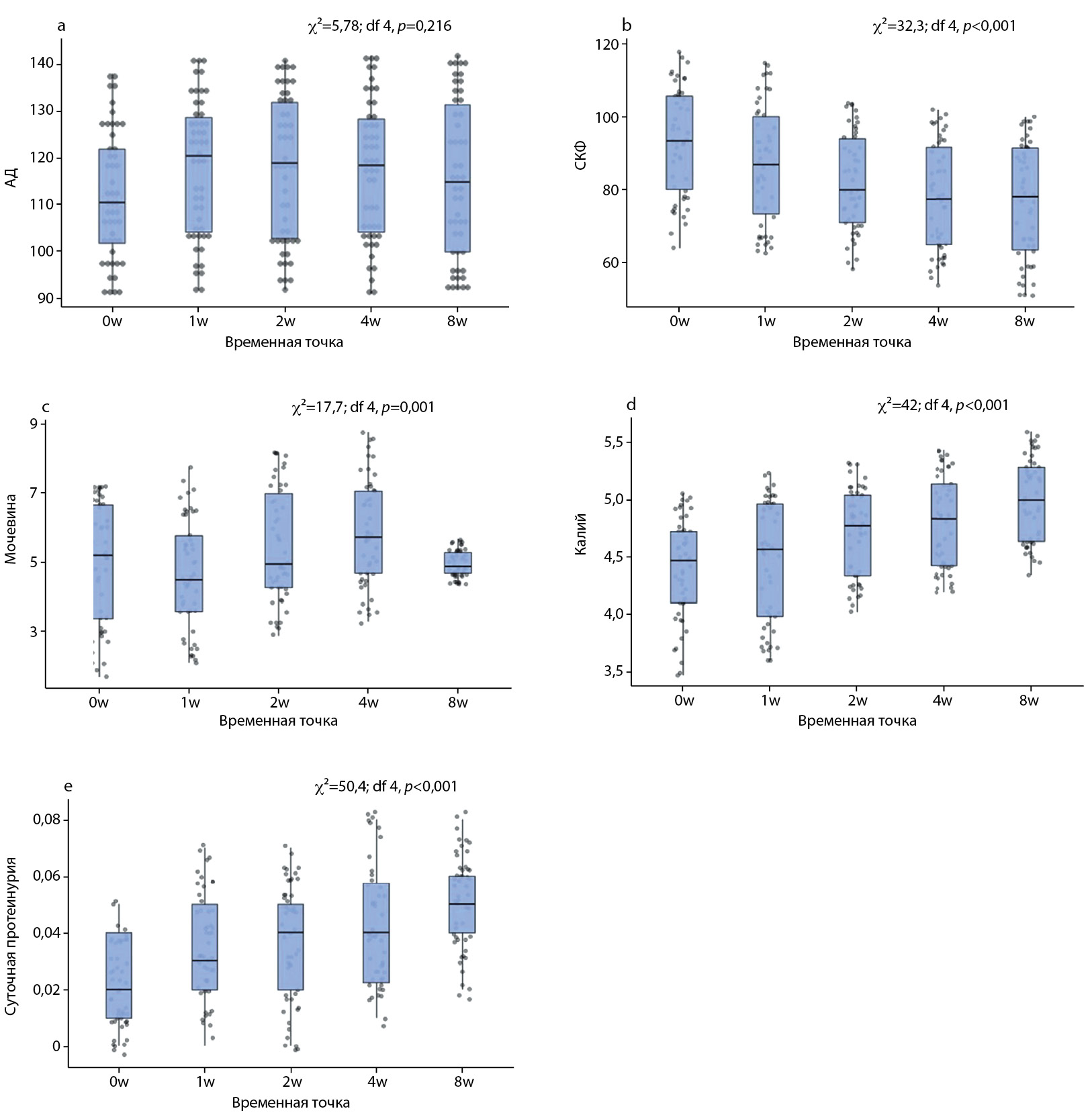
Рис. 1. Изменение уровня систолического АД (a), рСКФ (b), мочевины (c), калия (d), суточной протеинурии (e) в разных временных точках: 0 нед (0w),1 нед (1w),2 нед (2w),4 нед (4w),8 нед (8w) от начала терапии цисплатином.
Fig. 1. Dynamic of systolic arterial pressure (a), estimated glomerular filtration rate (b), urea (c), potassium (d), daily proteinuria (e) in sequential timepoints from the start of cisplatin therapy: 0 week (0w),1 week (1w),2 weeks (2w),4 weeks (4w),8 weeks (8w).
Результаты
Артериальная гипертензия с повышением систолического артериального давления (АД) выше 130 мм рт. ст. и диастолического АД выше 90 мм рт. ст. развилась у 14 (28%) из 50 пациентов, однако различия не достигли статистической значимости (χ²=5,78; степень свободы df 4, p=0,216); рис. 1, а. При попарном сравнении отмечено достоверное увеличение уровня АД в первые 2 нед после начала терапии цисплатином (p=0,034).
Снижение рСКФ менее 60 мл/мин/1,73 м² на 8-й неделе лечения отмечено у 11 (22%) больных (рис. 1, b). Медиана рСКФ в группе составила 93,5 (межквартильный размах IQR 80,3–106,0) мл/мин/1,73 м² до начала лечения и 78,0 (IQR 63,5–91,5) мл/мин/1,73 м² к 8-й неделе от начала терапии. При этом статистически значимое снижение рСКФ отмечено уже через 14 дней с момента начала терапии (p=0,003).
Снижение рСКФ не зависело от препарата-компаньона: при сравнении групп (1 – 5-фторурацил,2 – капецитабин,3 – паклитаксел) между собой критерием Краскелла–Уоллиса не отмечено значимой разницы (χ2KW=1,97, p=0,374); рис. 2.
Рис. 2. Изменение СКФ в подгруппах пациентов, получавших терапию 5-фторурацилом (1), капецитабином (2), паклитакселом (3) в комбинации с цисплатином.
Fig. 2. Dynamics of eGFR in subgroups of patients treated with 5-fluorouracil (1), capecitabine (2), paclitaxel (3) in combination with cisplatin.
Уровень мочевины достоверно повышался через 4 нед с момента начала введения цисплатина (р=0,003). Медиана уровня мочевины в плазме крови составила 5,20 (IQR 3,40–6,68) мкмоль/л до начала терапии и 4,90 (IQR 4,70–5,30) мкмоль/л через 8 нед (рис. 1, с).
Также отмечено повышение уровня калия в плазме крови, которое достигло статистической значимости (χ²=42; df 4, p<0,001); рис. 1, d. Медиана уровня калия до начала лечения составила 4,47 (IQR 4,11–4,73) ммоль/л, а через 8 нед – 5,00 (IQR 4,64–5,29) ммоль/л, при этом статистически значимое повышение отмечено через 2 нед с момента начала терапии (p<0,001).
Закономерно отмечено нарастание суточной альбуминурии (χ²=50,4; df 4, p<0,001); рис. 1, е. Медиана суточной альбуминурии во всей выборке пациентов составила: 20 (IQR 10–40) мг/сут до начала лечения и 50 (IQR 40–60) мг/сут – через 8 нед лечения.
Анемия выявлена у всех обследованных пациентов на 8-й неделе лечения цисплатином (χ²=163; df 4, p<0,001), при этом у всех пациентов уровень Hb составил менее 105 г/л. Медиана Hb во всей выборке пациентов составила 129,0 (IQR 117,0–139,0) г/л до начала терапии и 93,3 (IQR 89,6–97,4) г/л через 8 нед терапии, при этом статистически значимое снижение уровня Hb отмечено через 7 дней с момента начала терапии (p<0,001).
При оценке NGAL в моче в динамике отмечено нарастание его уровня (χ²=200; df 4, p<0,001), при этом значимое повышение отмечено уже через 1 нед после введения препарата (p<0,001). До начала лечения медиана уровня NGAL в моче составила 1,00×10-4 нг/мл, т.е. следовые количества в моче, а через 8 нед терапии отмечено более значимое повышение 160,0 (IQR 136,0–174,0) нг/мл (рис. 3, a).
Уровень KIM-1 в моче также прогрессивно нарастал в течение 8 нед от начала терапии (χ²=200; df 4, p<0,001), причем значимая разница достигнута, как и в случае с NGAL, уже через 7 дней после первого введения (p<0,001). До начала лечения медиана уровня биомаркера KIM-1 в моче составила 0,00 пг/мл, а через 8 нед терапии – 509,00 (IQR 435,0–572,0) пг/мл (рис. 3, b).
Рис. 3. Динамика уровня NGAL (a) и KIM-1 (b) в моче в разных временных точках: 0 нед (0w),1 нед (1w),2 нед (2w),4 нед (4w),8 нед (8w) от начала терапии цисплатином.
Fig. 3. Dynamics of urine NGAL (a) and KIM-1 (b) in sequential timepoints from the start of cisplatin therapy: 0 week (0w),1 week (1w),2 weeks (2w),4 weeks (4w),8 weeks (8w).
При выполнении корреляционного анализа не отмечено достоверной связи ни с одним из лабораторных или клинических показателей с увеличением концентрации биомаркеров NGAL или KIM-1 к 4-й или 8-й неделе после начала терапии цисплатином (табл. 1).
Таблица 1. Данные корреляционного анализа (p) между концентрациями биомаркеров NGAL и KIM-1 в моче, уровнем АД и рутинными лабораторными показателями Table 1. Correlation analysis (p-value) between urine NGAL and KIM-1, arterial pressure and laboratory characteristics | |||||||
Маркер | АД | Мочевина | Альбумин | Калий | Hb | Тромбоциты | Протеинурия |
NGAL 4w | 0,880 | 0,056 | 0,591 | 0,265 | 0,497 | 0,411 | 0,906 |
KIM-1 4w | 0,830 | 0,667 | 0,806 | 0,490 | 0,959 | 0,276 | 0,309 |
NGAL 8w | 0,340 | 0,172 | 0,548 | 0,670 | 0,621 | 0,761 | 0,991 |
KIM-1 8w | 0,391 | 0,401 | 0,714 | 0,271 | 0,586 | 0,286 | 0,200 |
При выполнении ROC-анализа для прогнозирования снижения рСКФ на фоне терапии цисплатином установлено, что риск нефротоксичности к 8-й неделе терапии нарастает при повышении уровня NGAL в моче выше 10,743 нг/мл (AUC 0,96) и KIM-1 – выше 182,4 пг/мл (AUC 0,96) уже на первой неделе терапии (табл. 2, рис. 4). Ценность мочевых биомаркеров для прогнозирования нефротоксичности сохранялась также и на 2-й неделе терапии.
Таблица 2. Информативность биомаркеров NGAL и KIM-1 в моче и точки «отсечения» (сut-off) для прогнозирования нефротоксичности цисплатина Table 2. Cut-off points and prognostic values for urine NGAL and KIM-1 (ROC analysis of cisplatin nephrotoxicity) | |||||
Cut-off, нг/мл | Чувствительность, % | Специфичность, % | AUC | Индекс Юдена | |
NGAL 1w | 10,743 | 90,91 | 94,87 | 0,96 | 0,858 |
KIM-1 1w | 182,4 | 90,91 | 94,87 | 0,96 | 0,858 |
NGAL 2w | 29,365 | 100 | 48,72 | 0,70 | 0,487 |
KIM-1 2w | 277,02 | 90,91% | 94,87 | 0,96 | 0,858 |
Обсуждение
Нефротоксичность, ассоциированная с терапией цисплатином, остается актуальной проблемой на протяжении всего времени использования препарата в клинической практике. В нашем исследовании среди 50 включенных пациентов снижение рСКФ менее 60 мл/мин/1,73 м² зарегистрировано у 22% (11) пациентов. По данным литературы, у 1/3 пациентов развивается повреждение почек на фоне цисплатинсодержащих схем химиотерапии в течение 3 мес [5]. Мы не получили статистически значимых различий в подгруппах пациентов, получавших разные препараты- компаньоны, т.е. токсичность проявляется вне зависимости от препарата, который используется в комбинации с цисплатином. Наши данные подтверждаются и другими клиничес- кими исследованиями, оценивающими эффективность и безопасность применения цисплатина в различных химио- терапевтических режимах [10, 16–18].
Рис. 4. Кривые (ROC) прогноза нефротоксичности цисплатина к 8-й неделе после начала терапии при повышении в моче NGAL выше 10,743 нг/мл и KIM-1 выше 182,4 пг/мл в конце первой недели терапии.
Fig. 4. Prognostic ROC-curves of cisplatin nephrotoxicity at 8 weeks after start of therapy with cut-off points NGAL 10.743 ng/ml and KIM-1 182.4 pg/ml at 1w timepoint.
После внутривенного введения приблизительно 60–90% цисплатина связывается с белками плазмы и экскретируется почками в течение первых 24 ч. Повреждение почек, ассоциированное с цисплатином, связано с прямым действием на клетки канальцев [2, 16].
Описано несколько гипотетических механизмов нефротоксичности цисплатина: препарат вызывает запуск сигнальных каскадов MAPK, p53, ROS, что в свою очередь приводит к апоптозу клеток, активации оксидативного стресса либо через нарушение дыхательной цепи в митохондриях, либо через активацию системы цитохрома P450 (CYP) [1], гиперэкспрессия провоспалительных факторов (прежде всего интерлейкина-1 и фактора некроза опухоли α), активация клеточного провоспалительного иммунитета (тучных клеток, NK-клеток, макрофагов и Т-лимфоцитов) [19] и непосредственное влияние на сосуды почек с развитием повреждения ишемического характера (патологическая вазоконстрикция возникает из-за нарушенной функции эндотелиоцитов) [1].
Лабораторно и клинически поражение почек проявляется стандартными отклонениями: нарастанием уровня креатинина, мочевины, снижением СКФ, появлением протеинурии. Все указанные признаки отмечены у пациентов в нашем исследовании со статистически значимой достоверностью.
Также отмечено, что у всех обследованных пациентов развивается анемия (уровень Hb менее 120 г/л). Учитывая миелосупрессивный характер действия цисплатина, наиболее вероятно, что выявленные изменения возникают как гематологические нежелательные явления (что также отмечено в регистрационных клинических исследованиях) [20–23].
Нами не выявлено статистически значимого повышения АД, что наиболее вероятно связано с небольшим сроком наблюдения – артериальная гипертензия, вызванная повреж- дением почек, проявляется позднее 8-недельного срока.
Доказано, что нарастание уровня сывороточного креатинина возникает при утрате более 1/2 функции почек. В связи с этим фактом постоянно остается актуальным поиск ранних биомаркеров нефротоксичности [8].
Нами отмечено достоверное повышение уровня маркеров канальцевого повреждения NGAL и KIM-1 уже через неделю после начала терапии цисплатином, в дальнейшем эти маркеры нарастали, достигая максимума к 8-й неделе лечения. Кроме того, появление обоих биомаркеров в моче уже на первой неделе лечения позволяет предсказать развитие нефротоксичности – снижение рСКФ менее 60 мл/мин к 8-й неделе терапии с высокой чувствительностью и специфичностью.
NGAL – липокалин, ассоциированный с желатиназой нейтрофилов, изучен как маркер, сигнализирующий о повреждении клеток проксимальных канальцев почек. Экспрессия NGAL значительно повышается сразу после ишемического или токсического повреждения почек, в том числе описано повышение этого биомаркера при использовании цисплатина [10, 11, 24].
Описана роль NGAL в качестве прогностического биомаркера почечного повреждения в кардиологической практике. Так, после использования апротинина у пациентов, впоследствии перенесших ОПП, уровень NGAL значительно повышался уже в первые часы [13, 25].
Также отмечена прогностическая значимость NGAL как предиктора смертности от ОПП после кардиохирургических операций [26–28].
KIM-1 – молекула повреждения почек-1, экспрессия которой повышается в ответ на повреждение клеток дистальных канальцев почек. При ишемическом повреждении почек KIM-1 может быть обнаружена в моче уже через 48 ч [15]. Как на животных моделях, так и на пациентах показано, что уровень KIM-1 повышается уже после однократного введения цисплатина, а скорость увеличения концентрации прямо коррелирует с тяжестью последующего ОПП [29]. Нарастание уровня KIM-1 предшествовало развитию ОПП, поскольку темпы нарастания KIM-1 превышали темпы нарастания сывороточного креатинина [18, 19].
Появление и нарастание NGAL и KIM-1 в моче происходит задолго до повышения уровня креатинина, а следовательно, снижения рСКФ и развития классического ОПП [9, 15]. Таким образом, NGAL и KIM-1 могут считаться ранними маркерами повреждения почек, а их появление помогает прогнозировать развитие почечного повреждения на фоне химиотерапии цисплатином. У таких пациентов целесообразно более тщательно контролировать функцию почек: определить уровень суточной протеинурии (что является более информативным, чем однократный общеклинический анализ мочи). У отдельных пациентов возможно рассмотреть редукцию дозы цисплатина либо замену цисплатина на карбоплатин до клинически значимого снижения уровня СКФ, что позволит получать противоопухолевую терапию более длительно, так как снижение СКФ будет в той временной точке, когда функция почек уже выраженно нарушена (повреждено более 50% нефронов).
Заключение
Ухудшение функции почек отмечено у 22% больных с солидными метастатическими опухолями при лечении цисплатинсодержащими схемами в течение 8 нед. Препараты-компаньоны, исходные показатели креатинина и СКФ, цифры АД не влияют на риск развития нефротоксичности. Концентрации NGAL и KIM-1 повышаются в моче уже в конце первой недели терапии, являясь ранними предикторами ухудшения функции почек. Определение указанных биомаркеров в моче может иметь важное значение для выбора пациентов, которые нуждаются в более тщательном обследовании и наблюдении, для того, чтобы противоопухолевая терапия могла проводиться максимально эффективно без нарушения режимности.
Раскрытие интересов. Авторы декларируют отсутствие явных и потенциальных конфликтов интересов, связанных с публикацией настоящей статьи.
Disclosure of interest. The authors declare that that they have no competing interests.
Вклад авторов. Авторы декларируют соответствие своего авторства международным критериям ICMJE. Все авторы в равной степени участвовали в подготовке публикации: разработка концепции статьи, получение и анализ фактических данных, написание и редактирование текста статьи, проверка и утверждение текста статьи.
Authors’ contribution. The authors declare the compliance of their authorship according to the international ICMJE criteria. All authors made a substantial contribution to the conception of the work, acquisition, analysis, interpretation of data for the work, drafting and revising the work, final approval of the version to be published and agree to be accountable for all aspects of the work.
Источник финансирования. Результаты получены в рамках научно-исследовательской работы, финансированной ГБУЗ «МКНЦ им. А.С. Логинова».
Funding source. The results were obtained as part of a research work funded by Loginov Moscow Clinical Scientific Center.
Соответствие принципам этики. Протокол исследования был одобрен локальным этическим комитетом при ГБУЗ «МКНЦ им. А.С. Логинова» (протокол №2/2020 от 17.02.2020). Одобрение и процедуру проведения протокола получали по принципам Хельсинкской конвенции.
Ethics approval. The study was approved by the local ethics committee of Loginov Moscow Clinical Scientific Center (№2/2020,17.02.2020). The approval and procedure for the protocol were obtained in accordance with the principles of the Helsinki Convention.
Об авторах
Катерина Сергеевна Гречухина
ФГБОУ ВО «Московский государственный университет им. М.В. Ломоносова»; ГБУЗ «Московский клинический научно-практический центр им. А.С. Логинова» Департамента здравоохранения г. Москвы
Автор, ответственный за переписку.
Email: dr.grechukhina@gmail.com
ORCID iD: 0000-0002-0616-5477
аспирант каф. внутренних болезней, врач-онколог
Россия, Москва; МоскваНаталья Викторовна Чеботарева
ФГБОУ ВО «Московский государственный университет им. М.В. Ломоносова»; ФГАОУ ВО «Первый Московский государственный медицинский университет им. И.М. Сеченова» Минздрава России (Сеченовский Университет)
Email: dr.grechukhina@gmail.com
ORCID iD: 0000-0003-2128-8560
д-р мед. наук, доц. каф. внутренних болезней, проф. каф. внутренних, профессиональных болезней и ревматологии Института клинической медицины
Россия, Москва; МоскваЛюдмила Григорьевна Жукова
ГБУЗ «Московский клинический научно-практический центр им. А.С. Логинова» Департамента здравоохранения г. Москвы
Email: dr.grechukhina@gmail.com
ORCID iD: 0000-0003-4848-6938
проф. РАН, д-р мед. наук, проф., зам. дир. по онкологии
Россия, МоскваАлексей Сергеевич Дорофеев
ГБУЗ «Московский клинический научно-практический центр им. А.С. Логинова» Департамента здравоохранения г. Москвы
Email: dr.grechukhina@gmail.com
ORCID iD: 0000-0001-9754-7579
мл. науч. сотр. лаб. научно-диагностических исследований и лаб. клинической иммунологии
Россия, МоскваТатьяна Николаевна Краснова
ФГБОУ ВО «Московский государственный университет им. М.В. Ломоносова»
Email: dr.grechukhina@gmail.com
ORCID iD: 0000-0002-7647-3942
канд. мед. наук, зав. каф. внутренних болезней
Россия, МоскваСписок литературы
- Ozkok A, Edelstein CL. Pathophysiology of cisplatin-induced acute kidney injury. Biomed Res Int. 2014;2014:967826. doi: 10.1155/2014/967826
- Browning RJ, Reardon PJT, Parhizkar M, et al. Drug Delivery Strategies for Platinum-Based Chemotherapy. ACS Nano. 2017;11:8560-78. doi: 10.1021/acsnano.7b04092
- Dasari S, Tchounwou P. Cisplatin in cancer therapy: Molecular mechanisms of action. Eur J Pharmacol. 2014;740:364-78. doi: 10.1016/j.ejphar.2014.07.025
- Hill JM, Speer RJ. Organo-platinum complexes as antitumor agents. Anticancer Res. 1982;2:173-85.
- Kostovska I, Trajkovska T, Topuzovska S, et al. Urinary nephrin is earlier, more sensitive and specific marker of diabetic nephropathy than microalbuminuria Urinarni nefrin je raniji, osetljiviji i specifičniji marker dijabetesne nefropatije nego mikroalbuminurija. J Med Biochem. 2020;39(1):83-90. doi: 10.2478/jomb-2019-0026
- Atilano-Roque A, Wen X, Aleksunes LM, et al. Nrf2 activators as potential modulators of injury in human kidney cells. Toxicol Rep. 2016;3:153-9. doi: 10.1016/j.toxrep.2016.01.006
- Hauser PV, Collino F, Bussolati B, et al. Nephrin and endothelial injury. Curr Opin Nephrol Hypertens. 2009;18:3-8. doi: 10.1097/MNH.0b013e32831a4713
- McCullough PA, Bouchard J, Waikar SS, et al. ADQI Consensus on AKI Biomarkers and Cardiorenal Syndromes. Contrib Nephrol. 2013;182:13-29. doi: 10.1159/000349963
- Mishra J, Dent C, Tarabishi R, et al. Neutrophil gelatinase-associated lipocalin (NGAL) as a biomarker for acute renal injury after cardiac surgery. Lancet. 2005;365:1231-8. doi: 10.1016/S0140-6736(05)74811-X
- Moore DH, Blessing JA, McQuellon RP, et al. Phase III study of cisplatin with or without paclitaxel in stage IVB, recurrent, or persistent squamous cell carcinoma of the cervix: A Gynecologic Oncology Group study. J Clin Oncol. 2004;22:3113-9. doi: 10.1200/JCO.2004.04.170
- Yuen PST, Jo SK, Holly MK, et al. Ischemic and nephrotoxic acute renal failure are distinguished by their broad transcriptomic responses. Physiol Genomics. 2006;25:375-86. doi: 10.1152/physiolgenomics.00223.2005
- Wagener G, Gubitosa G, Wang S, et al. Urinary neutrophil gelatinase-associated lipocalin and acute kidney injury after cardiac surgery. Am J Kidney Dis. 2008;52:425-33. doi: 10.1053/j.ajkd.2008.05.018
- Devarajan P. Review: Neutrophil gelatinase-associated lipocalin: A troponin-like biomarker for human acute kidney injury. Nephrology. 2010;15:419-28. doi: 10.1111/j.1440-1797.2010.01317.x
- Vaidya VS, Ozer JS, Dieterle F, et al. Kidney injury molecule-1 outperforms traditional biomarkers of kidney injury in preclinical biomarker qualification studies. Nat Biotechnol. 2010;28:478-85. doi: 10.1038/nbt.1623
- Bonventre J. Kidney injury molecule-1 (KIM-1): A urinary biomarker and much more. Nephrol Dial Transplant. 2009;24:3265-8. doi: 10.1093/ndt/gfp010
- Von der Maase H, Sengelov L, Roberts JT, et al. Long-term survival results of a randomized trial comparing gemcitabine plus cisplatin, with methotrexate, vinblastine, doxorubicin, plus cisplatin in patients with bladder cancer. J Clin Oncol. 2005;23:4602-8. doi: 10.1200/JCO.2005.07.757
- Thongprasert S, Napapan S, Charoentum C, et al. Phase II study of gemcitabine and cisplatin as first-line chemotherapy in inoperable biliary tract carcinoma. Ann Oncol. 2005;16:279-81. doi: 10.1093/annonc/mdi046
- Al-Batran SE, Hartmann JT, Probst S, et al. Phase III trial in metastatic gastroesophageal adenocarcinoma with fluorouracil, leucovorin plus either oxaliplatin or cisplatin: A study of the Arbeitsgemeinschaft Internistische Onkologie. J Clin Oncol. 2008;26:1435-42. doi: 10.1200/JCO.2007.13.9378
- Izzedine H, Ederhy S, Goldwasser F, et al. Management of hypertension in angiogenesis inhibitor-treated patients. Ann Oncol. 2009;20:807-15. doi: 10.1093/annonc/mdn713
- Dieterle F, Sistare F, Goodsaid F, et al. Renal biomarker qualification submission: A dialog between the FDA-EMEA and Predictive Safety Testing Consortium. Nat Biotechnol. 2010;28:455-62. doi: 10.1038/nbt.1625
- Hartmann JT, Lipp HP. Toxicity of platinum compounds. Expert Opin Pharmacother. 2003;4:889-901. doi: 10.1517/14656566.4.6.889
- Rizo-Topete LM, Rosner MH, Ronco C. Acute kidney injury risk assessment and the nephrology rapid response team. Blood Purif. 2017;43:82-8. doi: 10.1159/000452402
- Shao X, Tian L, Xu W, et al. Diagnostic value of urinary kidney injury molecule 1 for acute kidney injury: A meta-analysis. PLoS ONE. 2014;9. doi: 10.1371/journal.pone.0084131
- Mishra J, Mori K, Ma Q, et al. Neutrophil gelatinase-associated lipocalin: A novel early urinary biomarker for cisplatin nephrotoxicity. Am J Nephrol. 2004;24:307-15. doi: 10.1159/000078452
- Wagener G, Gubitosa G, Wang S, et al. Increased incidence of acute kidney injury with aprotinin use during cardiac surgery detected with urinary NGAL. Am J Nephrol. 2008;28:576-82. doi: 10.1159/000115973
- Cruz DN, de Cal M, Garzotto F, et al. Plasma neutrophil gelatinase-associated lipocalin is an early biomarker for acute kidney injury in an adult ICU population. Intensive Care Med. 2010;36:444-51. doi: 10.1007/s00134-009-1711-1
- Nguyen MT, Devarajan P. Biomarkers for the early detection of acute kidney injury. Pediatr Nephrol. 2008;23:2151-7. doi: 10.1007/s00467-007-0470-x
- Wheeler DS, Devarajan P, Ma Q, et al. Serum neutrophil gelatinase-associated lipocalin (NGAL) as a marker of acute kidney injury in critically ill children with septic shock. Crit Care Med. 2008;36:1297-303. doi: 10.1097/CCM.0b013e318169245a
- Nickolas TL, O’Rourke MJ, Yang J, et al. Sensitivity and specificity of a single emergency department measurement of urinary neutrophil gelatinase-associated lipocalin for diagnosing acute kidney injury. Ann Intern Med. 2008;148:810-9. doi: 10.7326/0003-4819-148-11-200806030-00003
Дополнительные файлы







