Experience of like-SJMB03 protocolin treatment of children with medulloblastomain the age group over 3 years:results of an intercenter pilot study
- Authors: Levashov A..1, Zagidullina S.R.1, Valiev T.T.1, Stroganova A.M.1, Khochenkov D.A.1, Grigorenko V..1, Mikhaylova E.V.1, Tyurina E.V.1, Ryzhova M.V.2, Horielyshev S.K.2, Kadirov S.U.2, Polyakov V.G.1
-
Affiliations:
- Blokhin National Medical Research Center of Oncology
- Burdenko National Medical Research Center for Neurosurgery
- Issue: Vol 26, No 1 (2024)
- Pages: 80-86
- Section: Articles
- Submitted: 17.04.2024
- Accepted: 17.04.2024
- Published: 05.03.2024
- URL: https://modernonco.orscience.ru/1815-1434/article/view/630435
- DOI: https://doi.org/10.26442/18151434.2024-1.202594
- ID: 630435
Cite item
Full Text
Abstract
Background. The experience of using the like-SJMB03 therapeutic program is presented. The aim of this study was to assess the potential possibility of reducing the dose of craniospinal and local radiation therapy in the standard and high-risk group patients, and to identify clinical, therapeutic, morphological and molecular-biological factors that determine disease prognosis.
Materials and methods. From 2008 till 2016 years 48 patients with newly diagnosed medulloblastoma were included in the study. In most cases (85%), localization of the primary tumor site was presented by a lesion of the cerebellar vermis with spread into the 4-th ventricle cavity. Gross total or near gross total resection of the primary tumor focus (R0 status) was achieved in 32 (66.7%) cases. The presence of a metastatic disease was established in 15 (31.2%) patients. Molecular biological characteristics of tumor samples were assessed using fluorescent hybridization in situ (FISH), Sanger PCR sequencing, and Illumina Infinium Human Methylation 450/850K BeadChip. Risk group stratification was according to SJMB03 (standard risk group was defined as: R0, M0 status; high-risk group: R1M0 or R0/1M+). A distinctive feature of this protocol was a reduction of the craniospinal irradiation dose down to 36 Gy for patients with M2/M3 status (without additional irradiation of metastatic foci) and the local irradiation dose down to 54 Gy (regardless of R status).
Results. In the standard risk group (R0M0), 5-year and 10-year EFS were 84.0±7.3% and 67.2±9.6%, 5-year and 10-year OS were 92.0±5.4% and 76.4±9.9%, in the high-risk group (R1M0): 5-year and 10-year EFS – 62.5±17.1% and 62.5±17.1%, 5-year and 10-year OS – 75.0±15.3% and 62.5±17.1%, in the high-risk group (R0/1M+): 5-year and 10-year EFS – 33.3±12.2% and 33.3±12.2%, 5-year and 10-year OS – 60.0±12.6% and 33.3±12.2%. Structure of events was presented by 15 disease recurrences (7 localized – 2 early, 5 late; 8 disseminated – 3 early, 5 late), 2 cases of disease progression, 2 cases of secondary tumors (in the first – osteosarcoma, in the second – glioblastoma) and 2 episodes of fatal septic complications. Most of the events were found in patients with a Group 4 tumor. Two peaks of the events were established in standard risk group (the first peak was within 2 years after the end of treatment program, mainly in the age group of 8 years and older, the second peak was within 3 years after the fifth year of observation, predominantly in the group from 3 to 7 years). CSI dose reduction down to 36 Gy for patients with M2/M3 status (without additional irradiation of metastatic foci) in the high-risk group led to a dramatic decrease of 5-year EFS. There was a trend towards a decrease in 5-year EFS and OS in patients aged 8 years and older, as well as in the presence of the C-MYC, N-MYC genes amplification, isochromosome 17q in tumor cells.
Conclusion. Despite the accumulated experience, it is necessary to continue studying the relationship between age groups and the molecular biology of tumor cells in medulloblastoma.
Full Text
Введение
Эволюция представлений об одном из наиболее известных протоколов лечения детей с медуллобластомой SJMB в возрастной группе старше 3 лет (в версиях от 1996 г. – SJMB96, от 2003 г. – SJMB03, от 2012 г. – SJMB12) детально представлена в предыдущем номере журнала [1–5].
С учетом результатов лечения детей с медуллобластомой по программам SJMB96 и SJMB03, а также других международных протоколов (COG ACNS0331, COG ACNS 0332, HIT 2000, HIT SIOP PNET 4, I-HIT-MED, PNET HR 5), установлены клинические факторы, морфологические и молекулярно-биологические особенности опухолевых клеток, определяющие прогноз заболевания. К группе факторов с благоприятным прогнозом относятся: тотальное или практически тотальное удаление первичного очага опухолевого поражения, отсутствие метастатического поражения, наличие десмопластического гистологического варианта опухоли c отсутствием амплификации гена N-MYC, WNT молекулярной группы опухоли с мутацией в 3 экзоне гена CTNNB1, моносомией 6 хромосомы при параллельном отсутствии мутации в гене ТР53 и увеличении количества копий гена ОТХ2. В свою очередь, неблагоприятными прогностическими факторами являются: субтотальное или частичное удаление первичного очага опухолевого поражения, наличие метастатического поражения, крупноклеточного-анапластического гистологического варианта опухоли; наличие в опухолевых клетках амплификации гена С-MYC, амплификации гена N-MYC, мутации в гене TP53. Прогностическая значимость наличия в опухолевых клетках Iso17q требует дополнительного изучения [6–17].
В контексте указанных выше исследований изучение редукции дозы краниоспинального облучения (КСО) для пациентов в группе высокого риска не проводилось. Суммарная очаговая доза (СОД) локального этапа определялась в соответствии с протоколом и типом фракционирования (54–59,4 Гр при конвенциональном фракционировании, 68 Гр – при режиме гиперфракционирования) [2–17].
В данной статье представлен опыт применения программы терапии like-SJMB03 в рамках межцентрового исследования при участии ФГАУ «НМИЦ нейрохирургии им. акад. Н.Н. Бурденко» и ФГБУ «НМИЦ онкологии им. Н.Н. Блохина», целью которой являлось оценить потенциальную возможность редукции дозы КСО у пациентов в группе высокого риска и локального этапа лучевой терапии у пациентов в группах стандартного и высокого риска, выявить клинические, терапевтические, морфологические и молекулярно-биологические факторы, определяющие прогноз заболевания.
Материалы и методы
С 2008 по 2016 г. в данное исследование включены 48 пациентов в возрасте от 4 до 17 лет с впервые установленным диагнозом «медуллобластома». Гендерное соотношение мальчиков и девочек составило 1,4:1. В возрастной группе от 3 до 7 лет – 23 пациента, в группе 8 лет и старше – 25. Медиана возраста для всей выборки пациентов – 7 лет. В большинстве случаев (85%) локализация первичного опухолевого очага представлена поражением червя мозжечка с распространением в полость IV желудочка. Тотальное или практически тотальное удаление первичного опухолевого очага (R0-статус) достигнуто в 32 (66,7%) случаях. Наличие метастатического поражения перед началом адъювантного программного лечения установлено у 15 (31,2%) пациентов.
Морфологический диагноз первоначально установлен в соответствии с критериями классификации опухолей центральной нервной системы Всемирной организации здравоохранения 2007 г. [18]. Далее структура диагноза пересмотрена в соответствии с данными классификаций Всемирной организации здравоохранения от 2016 и 2021 г. с учетом молекулярно-биологических особенностей опухоли [19, 20].
Оценка гистологического варианта опухоли выполнена у всех пациентов. Проведение флюоресцентной гибридизации in situ (FISH) с целью определения наличия или отсутствия в опухолевых клетках амплификации гена C-MYC выполнено на 42 (87,5%) опухолевых образцах, амплификации гена N-MYC – на 38 (79%), изохромосомы 17q – на 36 (75%) с применением следующих ДНК-зондов: 6q21/MYC(8q24), MYC(8q24)SE8, NMYC(2p24)/LAF(2q11), TP53(17p13)/MPO(17q22). Определение в опухолевых клетках мутации в 3 экзоне гена CTNNB1 выполнено у пациентов с WNT молекулярной группой опухоли, в 5–9 экзонах гена TP53 – при WNT и SHH молекулярных группах. Поиск данных мутаций проводился с помощью секвенирования по Сэнгеру. Тип молекулярной группы опухоли установлен с помощью применения методики Illumina Infinium Human Methylation 450/850K BeadChip в 36 (75%) случаях (табл. 1).
Таблица 1. Клинические группы пациентов в зависимости от пола, возраста, R- и М-статуса, морфологических и молекулярно-биологических характеристик опухолевых клеток Table 1. Clinical groups of patients depending on gender, age, R- and M-status, morphological and molecular biological characteristics of tumor cells | ||||
Характеристика | R0M0 | R1M0 | R0/1M+ | Всего |
Количество пациентов | 25 | 8 | 15 | 48 |
Гендерное соотношение:
| 14 11 | 6 2 | 8 7 | 28 20 |
Медиана возраста, лет | 7 [4; 17] | 6 [4; 17] | 10 [4; 17] | 7 [4; 7] |
Возрастные группы:
|
13 12 |
5 3 |
5 10 |
23 25 |
Локализация первичного опухолевого очага:
|
21 4 |
8 0 |
12 3 |
41 7 |
Метастатическое поражение:
|
–
|
–
|
4 / 2 9 / 0 |
4 / 2 9 / 0 |
Радикальность оперативного удаления первичного опухолевого очага:
|
25 / 0 |
0 / 8 |
7 / 8 |
32 / 16 |
Гистологический вариант опухоли:
|
22 1 2 |
7 0 1 |
13 1 1 |
42 2 4 |
Молекулярная группа опухоли:
|
3 3 4 9 6 |
1 0 2 2 3 |
1 2 3 6 3 |
5 5 9 17 12 |
Амплификация гена C-MYC:
|
0 / 22 3 1 / 21 3 2 / 18 5 |
0 / 5 3 0 / 5 3 2 / 3 3 |
1 / 14 0 2 / 9 4 4 / 7 4 |
1 / 41 6 3 / 35 10 8 / 28 12 |
Распределение пациентов в группы стандартного и высокого риска соответствовало критериям протокола SJMB03 (группа стандартного риска: R0M0; группа высокого риска: R1M0, R0/1M+) [3].
В рамках программы терапии like-SJMB03 предусмотрено проведение 3 этапов лечения.
На I этапе – оперативное удаление первичного очага опухолевого поражения. Перед началом адъювантного программного лечения выполнялись мобилизация и сбор аутологичных гемопоэтических стволовых клеток. При этом в результате процедуры афереза на курс терапии требовалось получить не менее 1×106/кг CD34+ клеток.
На II этапе проводилась лучевая терапия. C 2008 по 2013 г. применялся режим 2D, с 2013 по 2016 г. – режим IMRT (intensity – modulated radiotherapy). В соответствии с протоколом лечения в группе стандартного риска предусмотрено КСО в СОД 23,4 Гр с последующим облучением задней черепной ямки (ЗЧЯ)/зоны удаления первичного очага опухолевого поражения до 54 Гр, при разовой очаговой дозе (РОД) 1,8 Гр, в группе высокого риска – КСО в СОД 36 Гр с последующим облучением ЗЧЯ до 54 Гр, РОД 1,8 Гр, без дополнительного облучения зон метастатического поражения. С 2013 г. при локальной лучевой терапии в группе стандартного риска проводилось облучение не всей ЗЧЯ, а только зоны удаления первичного очага опухолевого поражения.
Начало III этапа – через 6 нед после лучевой терапии. Предусмотрено проведение 4 курсов химиотерапии [винкристин (1 мг/м2, дни –4, +6), цисплатин (75 мг/м2, день –4), циклофосфамид (2 г/м2, дни –3, –2)], с последующей трансплантацией аутологичных гемопоэтических стволовых клеток (день 0). Продолжительность курса составила 28 дней.
Статистический анализ проведен с использованием IBM SPSS Statistics-21. Непараметрические данные сравнивались по критерию χ2 Пирсона при построении таблиц сопряженности признаков. Общая выживаемость (ОВ) и бессобытийная выживаемость (БСВ) больных оценивались с помощью метода Каплана–Мейера, значимость различий между кривыми выживаемости – по методу log-rank.
Результаты
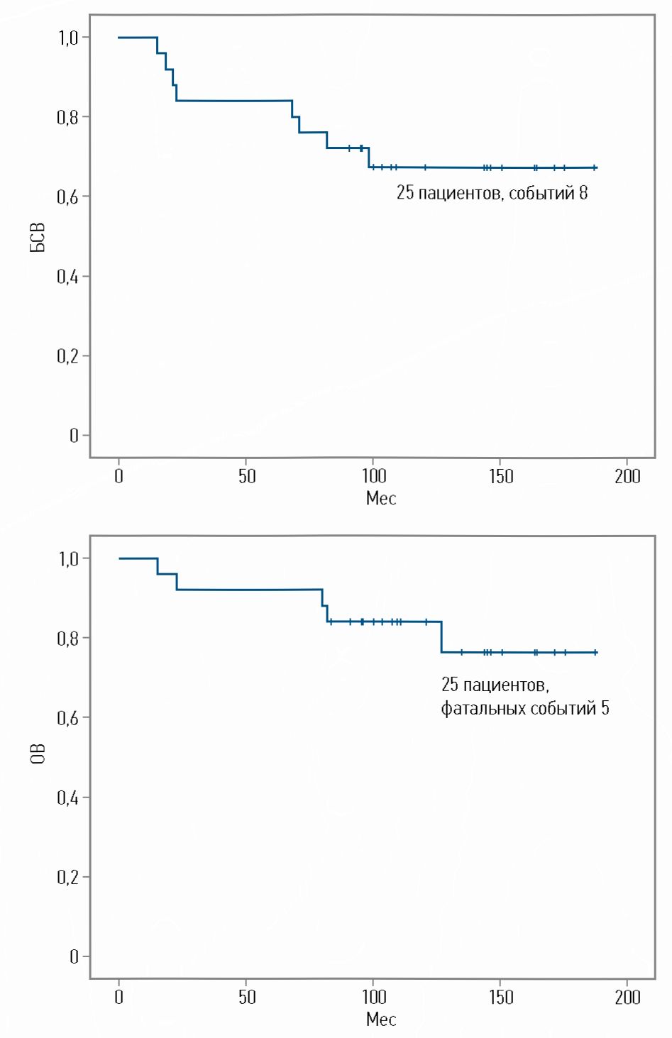
В группу стандартного риска включены 25 пациентов с R0M0-статусом. Полное программное лечение завершено в 23 случаях, в 2 – проведено менее 4 курсов в связи с развитием острой почечной недостаточности.
При этом показатели 5- и 10-летней БСВ составили 84,0±7,3 и 67,2±9,6% при среднем значении для времени выживания 142,5±13,4 мес, показатели 5- и 10-летней ОВ – 92,0±5,4 и 76,4±9,9% при среднем значении для времени выживания 160,7±10,9 мес (рис. 1).
Рис. 1. Показатели БСВ и ОВ в группе стандартного риска.
Fig. 1. Event-free survival (EFS) and overall survival (OS) ratesin the standard risk group.
Значения клинических, морфологических и молекулярно-биологических факторов для показателей 5-летней БСВ и ОВ не установлены (табл. 2).
Таблица 2. Показатели 5-летней БСВ и ОВ у пациентов с медуллобластомой в группе стандартного риска в зависимости от клинических, морфологических и молекулярно-биологических прогностических факторов Table 2. 5-year EFS and OS rates in patients with medulloblastoma in the standard risk group depending on clinical, morphological and molecular biological prognostic factors | |||||
Прогностический фактор | n | 5-летняя БСВ, % | р | 5-летняя ОВ, % | р |
Гендерное соотношение:
|
14 11 |
85,7 ± 9,4 81,8 ± 11,6 | 0,676 |
100 81,8 ± 11,6 | 0,919 |
Возрастные группы:
|
13 12 |
100 66,7 ± 13,6 | 0,215 |
100 83,3 ± 10,8 | 0,545 |
Локализация первичного опухолевого очага:
| 21 4 | 81,0 ± 8,6 100 | 0,739 | 90,5 ± 6,4 100 | 0,872 |
Гистологический вариант опухоли:
|
22 1 2 |
81,8 ± 8,2 100 100 | 0,530 |
90,9 ± 6,1 100 100 | 0,667 |
Молекулярная группа опухоли:
|
3 3 4 9 6 |
66,7 ± 27,2 100 100 77,8 ± 13,9 83,3 ± 15,2 | 0,661 |
100 100 100 88,9 ± 10,5 83,3 ± 15,2 | 0,934 |
Структура событий представлена 6 рецидивами заболевания и 2 случаями возникновения вторых опухолей (в 1-м – остеосаркомы с поражением затылочной кости через 82 мес от момента выявления первой опухоли в возрасте 4 лет, во 2-м – глиобластомой в проекции моста и ножек мозжечка через 98 мес от момента выявления первой опухоли в возрасте 5 лет). Три поздних рецидива заболевания установлены у пациентов с опухолью 4-й молекулярной группы, один поздний рецидив у пациента с опухолью WNT молекулярной группы (при наличии в опухолевых клетках соматической мутации в 5 экзоне гена ТР53), один ранний диссеминированный рецидив в случае с опухолью 4-й молекулярной группы с наличием амплификации гена N-MYC. Два эпизода выявления второго злокачественного новообразования отмечены у пациентов с опухолью 3-й молекулярной группы (табл. 3).
Таблица 3. Структура событий в зависимости от терапевтической группы Table 3. The structure of events depending on the therapeutic group | ||||
Структура событий | R0M0 | R1M0 | R0/1M+ | Всего |
Рецидив заболевания:
| 6 0 / 2 2 / 2 | 1 0 / 1 0 / 0 | 8 2 / 2 1 / 3 | 15 2 / 5 3 / 5 |
Прогрессирование заболевания | 0 | 1 | 1 | 2 |
Вторая опухоль | 2 | 0 | 0 | 2 |
Фатальные септические осложнения | 0 | 1 | 1 | 2 |
Интересно отметить два пика возникновения событий: 1-й – в течение 2 лет после завершения программного лечения, 2-й – в течение 3 лет после 5-го года наблюдения. Необходимо подчеркнуть, что у пациентов в возрасте от 3 до 7 лет события наступали позже, чем в группе от 8 лет и старше, при среднем значении для времени выживания 144,6±9,9 и 121,4±22,7 мес – для показателей БСВ, 151,1±8,2 и 150,2±18,9 мес – для показателей ОВ (рис. 2).
Fig. 2. EFS and OS rates in the standard risk group depending on age.
Также важно отметить, что оба пациента, которые не прошли полное программное лечение, живы при продолжительности наблюдения 143 и 100 мес (в первом случае – с WNT молекулярной группой опухоли, во втором – с опухолью 4-й молекулярной группы).
В группу высокого риска включены 8 пациентов с R1M0-статусом. Полное программное лечение завершено в 6 случаях, в 2 случаях проведено менее 4 курсов химиотерапии вследствие кардиотоксических эффектов в одном, нейротоксических осложнений – в другом (отека медиальных отделов таламических структур).
При этом показатели 5- и 10-летней БСВ оказались 62,5±17,1 и 62,5±17,1% при среднем значении для времени выживания 97,2±22,8 мес, показатели 5- и 10-летней ОВ составили 75,0±15,3 и 62,5±17,1% при среднем значении для времени выживания 103,7±20,9 мес (рис. 3).
Рис. 3. Показатели БСВ и ОВ в группе высокого риска при R1M0-статусе.
Fig. 3. EFS and OS rates in the high-risk group with R1M0 status.
В структуре событий выявлены 1 поздний локализованный рецидив заболевания у пациента с опухолью 4-й молекулярной группы, 1 случай прогрессирования заболевания после 4-го курса химиотерапии в случае с опухолью 3-й молекулярной группы (при наличии в опухолевых клетках изохромосомы 17q), 1 случай фатальных септических осложнений у пациентки с WNT группой опухоли после 4-го курса терапии. Оба пациента, которые не прошли полное программное лечение, живы при продолжительности наблюдения 124,5 и 99,4 мес (в одном случае – опухоль 3-й группы в сочетании с изохромосомой 17q).
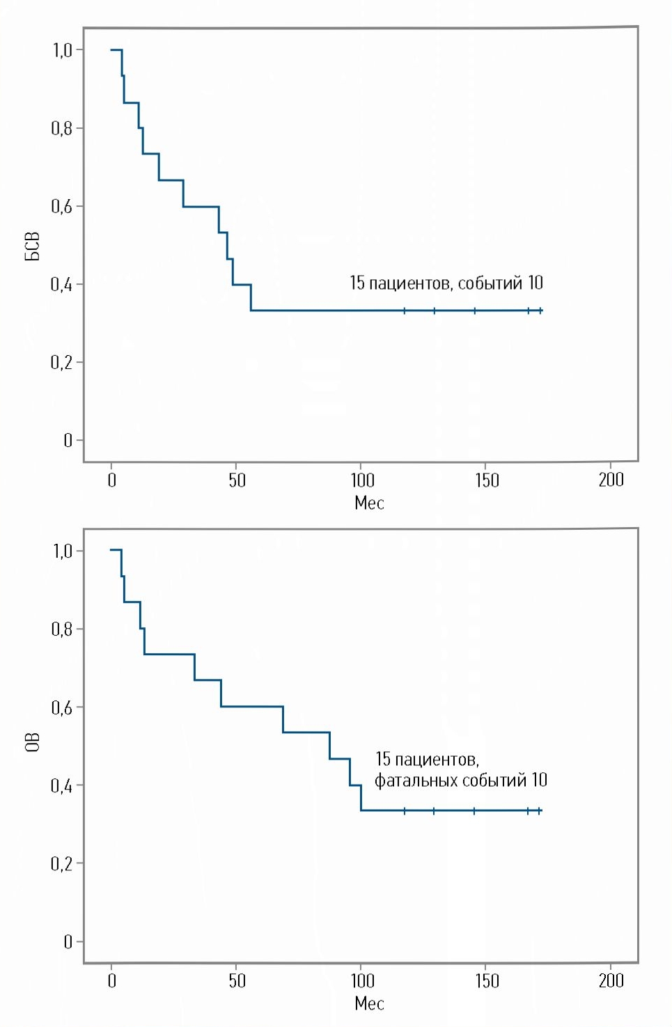
Также в группу высокого риска включены 15 пациентов с R0/1M+-статусом. Полное программное лечение завершено в 12 случаях, в 3 случаях проведено менее 4 курсов химиотерапии вследствие кардиотоксических эффектов в одном, фатальных септических осложнений – во втором и прогрессирования заболевания после этапа лучевой терапии – в третьем.
При этом показатели 5- и 10-летней БСВ оказались 33,3±12,2 и 33,3±12,2% при среднем значении для времени выживания 75,7±17,9 мес, показатели 5- и 10-летней ОВ составили 60,0±12,6 и 33,3±12,2% при среднем значении для времени выживания 88,4±17,0 мес (рис. 4).
Fig. 4. EFS and OS rates in the high-risk group with R0/1M + status.
При проведении анализа клинических, морфологических и молекулярно-биологических прогностических факторов отмечена тенденция к более низким показателям 5-летней БСВ и ОВ у пациентов в возрастной группе 8 лет и старше (p=0,049 и 0,098), а также при наличии в опухолевых клетках амплификации генов C-MYC, N-MYC и изохромосомы 17q (p=0,001). Но данные факты требуют дополнительного изучения при большем количестве наблюдений (табл. 4).
Таблица 4. Показатели 5-летней БСВ и ОВ у пациентов с медуллобластомой (с R0/1M+-статусом) в группе высокого риска в зависимости от клинических, морфологических и молекулярно-биологических прогностических факторов Table 4. 5-year EFS and OS rates in patients with medulloblastoma (with R0/1M+ status) in the high-risk group depending on clinical, morphological and molecular biological prognostic factors | |||||
Прогностический фактор | n | 5-летняя БСВ, % | р | 5-летняя ОВ, % | р |
Гендерное соотношение:
|
8 7 |
37,5 ± 17,1 28,6 ± 17,1 | 0,297 |
37,5 ± 17,1 28,6 ± 17,1 | 0,387 |
Возрастные группы:
|
5 10 |
60,0 ± 21,9 20,0 ± 12,6 | 0,049 |
60,0 ± 21,9 20,0 ± 12,6 | 0,098 |
Локализация первичного опухолевого очага:
|
12 3 |
33,3 ± 13,6 33,3 ± 27,2 | 0,756 |
33,3 ± 13,6 33,3 ± 27,2 | 0,756 |
Радикальность удаления первичного очага:
|
7 8 |
42,9 ± 18,7 25,0 ± 15,3 | 0,523 |
42,9 ± 18,7 25,0 ± 15,3 | 0,523 |
Характер метастатического поражения:
|
4 11 |
50,0 ± 25,0 27,3 ± 13,4 | 0,227 |
50,0 ± 25,0 27,3 ± 13,4 | 0,259 |
Гистологический вариант опухоли:
|
13 1 1 |
30,8 ± 12,8 100 0 | 0,351 |
30,8 ± 12,8 100 0 | 0,351 |
Молекулярная группа опухоли:
|
1 2 3 6 3 |
100 50,0 ± 35,4 33,3 ± 27,2 33,3 ± 19,2 0 | 0,316 |
100 50,0 ± 35,4 33,3 ± 27,2 33,3 ± 19,2 0 | 0,222 |
Наличие в опухолевых клетках:
|
3 4 5 3 |
0 25,0 ± 21,7 80,0 ± 17,9 0 | 0,001 |
0 25,0 ± 21,7 80,0 ± 17,9 0 | 0,001 |
В структуре событий выявлены 1 случай прогрессирования заболевания с опухолью 3-й молекулярной группы в сочетании с наличием амплификации гена C-MYC, 2 случая раннего локализованного рецидива (в первом – с опухолью молекулярной группы SHH с крупноклеточным-анапластическим вариантом и амплификацией гена N-MYC, но без мутации в гене ТР53, во втором – с неуточненной молекулярной группой), 2 поздних локализованных рецидива (в первом – с опухолью 3-й молекулярной группы, во втором – 4-й группы, с изохромосомой 17q в обоих), 1 случай раннего диссеминированного рецидива с неуточненной молекулярной биологией, 3 случая позднего диссеминированного рецидива (в 1 и 2-м – с опухолью 4-й молекулярной группы, из которых один – с изохромосомой 17q, в 3-м – с неуточненной молекулярной группой). У 1 пациента с опухолью 4-й молекулярной группы отмечено фатальное септическое осложнение.
Обсуждение
Таким образом, после анализа результатов исследования получены следующие данные.
В группе стандартного риска редукция СОД до 54 Гр на локальном этапе лучевой терапии не привела к снижению показателей 5-летней БСВ и ОВ в сравнении с историческим контролем; установлены два пика возникновения событий (1-й – в течение 2 лет после завершения программного лечения преимущественно в возрастной группе 8 лет и старше, 2-й – в течение 3 лет после 5-го года наблюдения преимущественно в группе от 3 до 7 лет); большинство событий выявлено у пациентов с опухолью 4-й молекулярной группы; возникновение других онкологических заболеваний отмечено в 2 случаях с опухолью 3-й молекулярной группы [1–3].
В группе высокого риска с R1M0-статусом показатель 5-летней БСВ составил 62,5%. При этом 2 случая рецидива и прогрессирования заболевания выявлены в течение 2,5 года от момента верификации диагноза. В контрольной группе из 6 пациентов, которым проведено лечение по протоколу SJMB96, данный показатель оказался 100% [2]. Анализ результатов протокола SJMB03 показал наличие R1-статуса у 14 пациентов (в 2 случаях с WNT молекулярной группой опухоли, в 2 – с SHH, в 3 – с 3-й группой, в 7 – с 4-й группой). Число пациентов с R1M0-статусом не указано. Показатель 5-летней выживаемости без признаков прогрессирования заболевания в данной выборке составил 63%. Пять событий установлено в течение 2 лет от момента верификации диагноза. Другие 2 события выявлены после 10-летнего периода катамнестического наблюдения [3]. Оценить достоверность влияния редукции СОД на локальном этапе лучевой терапии с 55,8–59,4 до 54 Гр в рамках данных исследований невозможно в связи с недостаточным количеством наблюдений.
В группе высокого риска c наличием метастатического поражения редукция СОД КСО до 36 Гр для пациентов с М2/М3-статусом (без дополнительного облучения зон метастатического поражения) привела к снижению показателей 5-летней БСВ до 33,3% – в группах исторического контроля 66% (SJMB96) и 58% (SJMB03); отмечена тенденция к более низким показателям 5-летней БСВ и ОВ у пациентов в возрастной группе 8 лет и старше (p=0,049 и 0,098), а также при наличии в опухолевых клетках амплификации генов N-MYC, C-MYC, изохромосомы 17q (p=0,001 и 0,001) [1–3].
Заключение
Постепенно появляются представления о группах пациентов с медуллобластомой, которым необходимо деэскалировать или, наоборот, интенсифицировать программное лечение. Особенно важным аспектом остается необходимость дополнительного изучения взаимосвязи между возрастными группами и молекулярной биологией опухолевых клеток, что в конечном итоге может привести к созданию программ терапии с оптимальным профилем эффективности и токсичности.
Раскрытие интересов. Авторы декларируют отсутствие явных и потенциальных конфликтов интересов, связанных с публикацией настоящей статьи.
Disclosure of interest. The authors declare that they have no competing interests.
Вклад авторов. Авторы декларируют соответствие своего авторства международным критериям ICMJE. Все авторы в равной степени участвовали в подготовке публикации: разработка концепции статьи, получение и анализ фактических данных, написание и редактирование текста статьи, проверка и утверждение текста статьи.
Authors’ contribution. The authors declare the compliance of their authorship according to the international ICMJE criteria. All authors made a substantial contribution to the conception of the work, acquisition, analysis, interpretation of data for the work, drafting and revising the work, final approval of the version to be published and agree to be accountable for all aspects of the work.
Источник финансирования. Авторы декларируют отсутствие внешнего финансирования для проведения исследования и публикации статьи.
Funding source. The authors declare that there is no external funding for the exploration and analysis work.
Информированное согласие на публикацию. Авторы получили письменное согласие законных представителей пациентов на анализ и публикацию медицинских данных.
Consent for publication. The authors obtained written consent from the patient’s legal representatives to analyze and publish medical data.
Соответствие принципам этики. Протокол исследования был одобрен локальным этическим комитетом ФГБУ «НМИЦ онкологии им. Н.Н. Блохина» (протокол №4 от 13 мая 2009 г.). Одобрение и процедуру проведения протокола получали по принципам Хельсинкской конвенции.
Ethics approval. The study was approved by the local ethics committee of Blokhin National Medical Research Center of Oncology (protocol №4 dated 13.05.2009). The approval and procedure for the protocol were obtained in accordance with the principles of the Helsinki Convention.
About the authors
Andrey S. Levashov
Blokhin National Medical Research Center of Oncology
Email: andreyslevashov@mail.ru
ORCID iD: 0000-0001-5081-3964
Cand. Sci. (Med.)
Russian Federation, MoscowSvetlana R. Zagidullina
Blokhin National Medical Research Center of Oncology
Email: andreyslevashov@mail.ru
ORCID iD: 0000-0002-6606-3106
Pediatric Oncologist
Russian Federation, MoscowTimur T. Valiev
Blokhin National Medical Research Center of Oncology
Email: andreyslevashov@mail.ru
ORCID iD: 0000-0002-1469-2365
D. Sci. (Med.), Department Head
Russian Federation, MoscowAnna M. Stroganova
Blokhin National Medical Research Center of Oncology
Email: andreyslevashov@mail.ru
ORCID iD: 0000-0002-7297-5240
Cand. Sci. (Med.), Department Head
Russian Federation, MoscowDmitry A. Khochenkov
Blokhin National Medical Research Center of Oncology
Email: andreyslevashov@mail.ru
ORCID iD: 0000-0002-5694-3492
Cand. Sci. (Biol.), Department Head
Russian Federation, MoscowVasiliy A. Grigorenko
Blokhin National Medical Research Center of Oncology
Email: andreyslevashov@mail.ru
ORCID iD: 0000-0002-2391-4142
Radiologist
Russian Federation, MoscowElena V. Mikhaylova
Blokhin National Medical Research Center of Oncology
Email: andreyslevashov@mail.ru
ORCID iD: 0000-0001-7630-7496
Cand. Sci. (Med.), Department Head
Russian Federation, MoscowElizaveta V. Tyurina
Blokhin National Medical Research Center of Oncology
Email: andreyslevashov@mail.ru
ORCID iD: 0000-0003-4019-5247
Pediatric Oncologist
Russian Federation, MoscowMarina V. Ryzhova
Burdenko National Medical Research Center for Neurosurgery
Email: andreyslevashov@mail.ru
ORCID iD: 0000-0001-7206-6365
D. Sci. (Med.), Department Head
Russian Federation, MoscowSerhii K. Horielyshev
Burdenko National Medical Research Center for Neurosurgery
Email: andreyslevashov@mail.ru
ORCID iD: 0000-0003-1318-7823
D. Sci. (Med.), Department Head
Russian Federation, MoscowShavkat U. Kadirov
Burdenko National Medical Research Center for Neurosurgery
Author for correspondence.
Email: andreyslevashov@mail.ru
ORCID iD: 0000-0001-5879-1333
Cand. Sci. (Med.), neurosurgeon
Russian Federation, MoscowVladimir G. Polyakov
Blokhin National Medical Research Center of Oncology
Email: andreyslevashov@mail.ru
ORCID iD: 0000-0002-8096-0874
Prof., Acad. RAS, Department Head
Russian Federation, MoscowReferences
- Левашов А.С., Загидуллина С.Р., Валиев Т.Т. Международный опыт применения протоколов SJMB в лечении детей с медуллобластомой в возрастной группе старше 3 лет (обзор литературы). Современная Онкология. 2023;25(3):385-90 [Levashov AS, Zagidullina SR, Valiev TT, et al. International experience by using of the SJMB protocols in treatment of children with medulloblastoma in the age group over 3 years (literature review). Journal of Modern Oncology. 2023;25(3):385-90 (in Russian)]. doi: 10.26442/18151434.2023.3.202437
- Gajjar A, Chintagumpala M, Ashley D. Risk-adapted craniospinal radiotherapy followed by high-dose chemotherapy and stem-cell rescue in children with newly diagnosed medulloblastoma (St Jude Medulloblastoma-96): long-term results from a prospective, multicentre trial. Lancet Oncol. 2006;7(10):813-20. doi: 10.1016/S1470-2045(06)70867-1
- Gajjar A, Robinson GW, Smith KS. Outcomes by clinical and molecular features in children with medulloblastoma treated with risk – adapted therapy: results of in International phase III trial (SJMB03). J Clin Oncol. 2021;39(7):822-35. doi: 10.1200/JCO.20.01372
- Kumar R, Smith KS, Deng M. Clinical outcomes and patient-matched molecular composition of relapsed medulloblastoma. J Clin Oncol. 2021;39(7):807-21. doi: 10.1200/JCO.20.01359
- Stewart CF, Lacono LC, Chintagumpala M. Results of a phase II upfront window of pharmacokinetically guided topotecan in high-Risk medulloblastoma and supratentorial primitive neuroectodermal tumor. J Clin Oncol. 2004;22(16):3357-65. doi: 10.1200/JCO.2004.10.103
- Bueren AO, Kortmann RD, Hoff K. Treatment of children and adolescents with metastatic medulloblastoma and prognostic relevance of clinical and biologic parameters. J Clin Oncol. 2016;34(34):4151-60. doi: 10.1200/JCO.2016.67.2428
- Clifford SC, Lannering B, Schwalbe EC. Biomarker-driven stratification of disease-risk in non-metastatic medulloblastoma: Results from the multi-center HIT-SIOP PNET4 clinical trial. Oncotarget. 2015;6(36):38827-39. doi: 10.18632/oncotarget.5149
- Dufour C, Foulon S, Geoffray A. Prognostic relevance of clinical and molecular risk factors in children with high risk medulloblastoma treated in the Phase II trial PNET HR+5. Neuro Oncol. 2021;23(7):1163-72. doi: 10.1093/neuonc/noaa301
- Fukuoka K, Kurihara J, Shofuda T. Subtyping of Group 3/4 medulloblastoma as a potential prognostic biomarker among patients treated with reduced dose of craniospinal irradiation: a Japanese Pediatric Molecular Neuro – Oncology Group study. Acta Neuropathol Commun. 2023;11:153. doi: 10.1186/s40478-023-01652-4
- Goddard J, Castle J, Southworth E. Molecular characterisation defines clinically – actionable heterogeneity within Group 4 medulloblastoma and improves disease risk – stratification. Acta Neoropathol. 2023;145(5):651. doi: 10.1007/s00401-023-02566-0
- Goschzik T, Mynarek M, Doerner E. Genetic alterations of TP53 and OTX2 indicate increased risk of relapse in WNT medulloblastoma. Acta Neuripathol. 2022;144(6):1143-56. doi: 10.1007/s00401-022-02505-5
- Kennedy C, Bull K, Chevignard M. Quality of survival and growth in children and young adults in the PNET4 European controlled trial of hyperfractionated versus conventional radiation therapy for standard-risk medulloblastoma. Int Journal of Radiat Oncol, Biol, Phys. 2014;88(2):292-300. doi: 10.1016/j.ijrobp.2013.09.046
- Lannering B, Rutkowski S, Doz F. Hyperfractionated versus conventional radiotherapy followed by chemotherapy in standard-risk medulloblastoma: results from the randomized multicenter HIT-SIOP PNET 4 Trial. J Clin Oncol. 2012;30(26):3187-93. doi: 10.1200/JCO.2011.39.8719
- Leary SES, Packer RJ, Li Y. Efficacy of carboplatin and isotretinoin in children with high – risk medulloblastoma: a randomized clinical trial from the Children’s Oncology Group. JAMA Oncol. 2021;7(9):1313-20. doi: 10.1001/jamaoncol.2021.2224
- Michalski JM, Janss AJ, Vezina LG. Results of COG ACNS0331: A Phase III Trial of involved-field radiotherapy (IFRT) and low dose craniospinal irradiation (LD-CSI) with chemotherapy in average-risk medulloblastoma: A report from the Children’s Oncology Group. Int J Rad Oncol. 2016;96(5):937-8. doi: 10.1016/j.ijrobp.2016.09.046
- Mynarek M, Obrecht D, Sill M. Identification of low and very high – risk patients with non – WNT/non – SHH medulloblastoma by improved clinico – molecular stratification of the HIT2000 and I – HIT – MED cohorts. Acta Neuropathol. 2023;145(1):97-112. doi: 10.1007/s00401-022-02522-4
- Sursal T, Ronecker JS, Dicpinigaitis AJ. Molecular stratification of medulloblastoma: clinical outcomes and therapeutic interventions. Anticancer Res. 2022;42(5):2225-39. doi: 10.21873/anticanres.15703
- Louis DN, Ohgaki H, Wiestler OD. The 2007 WHO Classification of tumors of the central nervous system. Acta Neuropathol. 2007;114(2):97-109. doi: 10.1007/s00401-007-0243-4
- Louis DN, Perry A, Reifenberger G. The 2016 World Health Organization Classification of tumors of the central nervous system: a summary. Acta Neuropathol. 2016;131:803-20. doi: 10.1007/s00401-016-1545-1
- Louis DN, Perry A, Wesseling P. The 2021 WHO Classification of Tumors of the Central Nervous System: a summary. Neuro Oncol. 2021;23(8):1231-51. doi: 10.1093/neuonc/noab106
Supplementary files







