Predictive modeling of the probability of gynecological complications of tamoxifen therapy: A prospective study
- Authors: Golubenko E.O.1, Savelyeva M.I.2, Korennaya V.V.1,3, Podzolkova N.M.1,4, Valiev T.T.1,5,6
 - 
							Affiliations: 
							
- Russian Medical Academy of Continuous Professional Education
 - Yaroslavl State Medical University
 - City Clinical Hospital №52
 - Botkin City Clinical Hospital
 - Blokhin National Medical Research Center of Oncology
 - Sechenov First Moscow State Medical University (Sechenov University)
 
 - Issue: Vol 26, No 3 (2024)
 - Pages: 390-394
 - Section: Articles
 - Submitted: 22.01.2024
 - Accepted: 31.10.2024
 - Published: 11.11.2024
 - URL: https://modernonco.orscience.ru/1815-1434/article/view/625877
 - DOI: https://doi.org/10.26442/18151434.2024.3.202873
 - ID: 625877
 
Cite item
Full Text
Abstract
Background. It is well known that adjuvant therapy for breast cancer (BC) with tamoxifen is associated with an increased risk of endometrial hyperplasia (EH). Currently, the problem of hyperplastic processes and endometrial cancer during long-term tamoxifen therapy is particularly relevant since the incidence of endometrial disorders has a direct correlation with the duration of tamoxifen therapy. Follow-up by a gynecologist should be tailored to consider the risk of endometrial cancer in women who survived BC to improve the early detection of endometrial cancer and avoid unnecessary invasive procedures.
Aim. To predict adverse drug reactions (ADRs) of tamoxifen, including EH, endometrial polyps, and abnormal uterine bleeding, based on mathematical modeling in relation to the carriage of polymorphic variants of cytochrome P450 enzyme genes and drug transporter proteins.
Materials and methods. A prospective pharmacogenetic study of 120 women with stage I–III luminal BC receiving tamoxifen was conducted. The polymerase chain reaction method was used to detect the presence of polymorphisms of cytochrome P450 genes, followed by an assessment of their associations with ADRs of tamoxifen, namely with local gynecological symptoms.
Results. Predictive models of ADR occurrence based on the logistic regression function have been created and validated by ROC analysis. We have developed a prognostic model to estimate the probability of developing a composite endpoint (polyp, EH, abnormal uterine bleeding) based on history and genetic risk factors. It was found that the predictors of the combination of local gynecological ADRs (EH, endometrial polyp, and abnormal uterine bleeding) include such factors as weight loss, the presence of asthenia, an increase in the number of births, carriage of the TT genotype of the ABCB1 3435 polymorphic variant and the GG genotype of the CYP2D6*4 polymorphic variant, GG of the CYP3A5 polymorphic variant. The relatively high incidence (43.3%) of local gynecological symptoms requires regular monitoring by obstetrician-gynecologists using instrumental methods (transvaginal ultrasound).
Conclusion. This prognostic model has demonstrated high diagnostic effectiveness, which allows it to be implemented in the routine clinical practice of an obstetrician-gynecologist.
Full Text
Введение
В 60–70% случаев рак молочной железы (РМЖ) является гормонозависимым. В связи с тем, что эстрогены усиливают пролиферацию клеток гормонозависимой опухоли молочной железы, эндокринная терапия тамоксифеном (ТАМ) или ингибиторами ароматазы является важным этапом лечения таких пациенток [1, 2]. По данным литературы, прием ТАМ на протяжении 5 лет на 39% уменьшает риск рецидива РМЖ [3].
Однако использование ТАМ может быть ограничено из-за нежелательных лекарственных реакций (НЛР), которые он вызывает. Известно, что на фоне адъювантной терапии РМЖ ТАМ возрастает риск развития гиперплазии эндометрия (ГЭ), поскольку ТАМ действует как антагонист рецепторов эстрогена на ткань молочной железы и как агонист – на эндометрий [4, 5].
Продолжительность жизни женщин, перенесших РМЖ, в настоящее время увеличивается. В связи с этим особенно актуальна проблема гиперпластических процессов и рака эндометрия (РЭ) на фоне длительного приема ТАМ, поскольку частота развития патологии эндометрия имеет прямую корреляцию с продолжительностью приема ТАМ [6]. С целью улучшения раннего выявления РЭ и избежания ненужных инвазивных процедур наблюдение врачом-гинекологом должно быть адаптировано к риску гиперпластических процессов эндометрия у женщин, перенесших РМЖ.
Цель исследования – определение прогноза развития НЛР ТАМ, включая ГЭ, полипы эндометрия (ПЭ) и аномальные маточные кровотечения (АМК), на основе математического моделирования во взаимосвязи с носительством полиморфных вариантов генов ферментов цитохромной системы Р450 и белками-транспортерами лекарственных средств.
Гипотеза: у женщин с РМЖ, находящихся на эндокринотерапии, предикторами развития локальных гинекологических симптомов, требующих дополнительного внимания врача акушера-гинеколога, являются не только клинические факторы, но и генетические детерминанты, отвечающие за метаболизм и транспорт ТАМ.
Материалы и методы
В проспективном клинико-эпидемиологическом и одномоментном фармакогенетическом исследовании приняли участие 120 пациенток с люминальным РМЖ I–III стадий, находящихся на терапии ТАМ в адъювантном режиме. Анализировались анамнестические, клинические, лабораторные и инструментальные данные, полученные из опроса пациенток и выписок из историй болезни (результаты последней госпитализации). Сбор биологического материала для генетического исследования (двукратный буккальный соскоб и проба мочи) производился одномоментно на базе Клиники им. проф. Ю.Н. Касаткина в 2018–2019 г. Всеми участницами исследования перед взятием материала подписано информированное добровольное согласие. Пациентки исследованы на наличие полиморфных вариантов генов CYP2D6, CYP2C, CYP3A: CYP2D6*4, CYP3A5*3, CYP2C9*2, CYP2C9*3, CYP2C19*2, CYP2C19*3, а также полиморфного маркера гена ABCB1 (С3435Т), кодирующего транспортный белок гликопротеин-Р. Полиморфные варианты определялись с помощью метода полимеразной цепной реакции в режиме реального времени в Научно-исследовательском центре персонализированной медицины ФГБОУ ДПО РМАНПО. Исследование одобрено этическим комитетом ФГБОУ ДПО РМАНПО (протоколы №1 от 17.01.2017 и №2 от 15.02.2023) и проводилось в соответствии с законодательством РФ и международными нормативно-правовыми документами.
При статистической обработке результатов использовали программу SPSS Statistics 26.0 (США). Проверка нормальности распределения проводилась методом Колмогорова–Смирнова с поправкой Лиллиефорса, отдельно для генетических параметров – с помощью уравнения Харди–Вайнберга. Межгрупповые различия оценивались при помощи t-критерия Стьюдента и U-критерия Манна–Уитни. Сравнительный анализ использовался с применением χ2 Пирсона либо точного теста Фишера. Для формирования математических прогностических моделей использовался метод построения логистической функции с помощью бинарной логистической регрессии с пошаговым отбором факторов и проведением при необходимости дополнительного построения ROC-кривых с последующим ROC-анализом.
Результаты и обсуждение
Результаты частотного распределения и структура НЛР, возникающих при приеме ТАМ, представлены на рис. 1. В структуре НЛР на прием ТАМ присутствуют как системные, так и локальные НЛР, причем системные доминируют над локальными с наибольшей представленностью приливов как вазоактивных симптомов со стороны вегетативной нервной системы (60%). Локальные гинекологические симптомы представлены ГЭ, ПЭ и АМК, которые в данной выборке встречаются значительно реже (20; 10,8 и 12,5% соответственно), однако в сумме составляют 43,3%, что с учетом низко выраженной субъективной оценки (частое асимптомное течение, отсутствие жалоб) требует пристального внимания со стороны акушеров-гинекологов. Полученный нами высокий процент локальных гинекологических симптомов оказался близок данным P. Neven и соавт., указывающих на 50% каких-либо неблагоприятных эффектов в отношении эндометрия у женщин, принимавших ТАМ [5].
Рис. 1. Частота встречаемости системных (приливы, астения, боли в костях, диспепсия, тромбозы и онкозаболевания) и локальных (ГЭ, АМК, ПЭ) НЛР на фоне приема ТАМ.
Fig. 1. The incidence of systemic (hot flashes, asthenia, bone pain, dyspepsia, thrombosis, and cancer) and local (EH, AUB, EP) adverse drug reactions of tamoxifen.
У пациенток с РМЖ на адъювантной терапии ТАМ обнаружены достоверные прямые корреляционные связи, а именно:
1) ГЭ достоверно чаще обнаружена у носителей аллельных вариантов ТТ генотипа ABCB1 3435 (C3435T), страдающих приливами, АМК и астенией (p=0,028; 0,037; <0,001 и 0,008 соответственно); табл. 1;
2) возникновение АМК коррелировало с носительством аллельных вариантов ТТ генотипа ABCB1 3435 (C3435T), данными М-эхо, ГЭ, приливами и астенией (p=0,044; <0,001; <0,001; 0,005 и 0,034 соответственно), а также с тенденцией к достоверности (p=0,051) у носителей генотипа GG и GA CYP2D6*4 (G1846A); табл. 2;
3) ПЭ достоверно чаще встречался у более молодых женщин с большим снижением массы тела на фоне приема ТАМ (p=0,035 и <0,001 соответственно) с тенденцией к достоверности (p=0,072) у носителей генотипа AG полиморфного варианта гена CYP3A5 CC(A6986G), также обозначающегося как CYP3A5*3; табл. 3.
Таблица 1. Сравнение клинических, анамнестических и генетических данных между подгруппами пациентов в зависимости от наличия или отсутствия ГЭ
Table 1. Comparison of clinical, history, and genetic data between subgroups of patients, depending on the presence or absence of endometrial hyperplasia (EH)
Показатель  | Пациенты с ГЭ (n=24)  | Пациенты без ГЭ (n=96)  | p  | 
ABCB1 3435 (C3435T) TT, абс. (%)  | 12 (50)  | 25 (26)  | 0,028*  | 
Количество родов, Me (Q1–Q3)  | 2 (1–2)  | 1 (1–2)  | 0,019*  | 
АМК, абс. (%)  | 13 (54,2)  | 2 (2,1)  | <0,001*  | 
Приливы, абс. (%)  | 19 (79,2)  | 53 (55,2)  | 0,037*  | 
Астения, абс. (%)  | 15 (62,5)  | 30 (31,3)  | 0,008*  | 
*Здесь и далее в табл. 2: статистически значимая разница (p<0,05).  | |||
Таблица 2. Сравнение клинических, анамнестических и генетических данных между подгруппами пациентов в зависимости от наличия или отсутствия АМК
Table 2. Comparison of clinical, history, and genetic data between subgroups of patients, depending on the presence or absence of abnormal uterine bleeding (AUB)
Показатель  | Пациенты с АМК (n=15)  | Пациенты без АМК (n=105)  | p  | 
ABCB1 3435 (C3435T) TT, абс. (%)  | 8 (53,3)  | 29 (27,6)  | 0,044*  | 
CYP2D6*4 (G1846A) GG, абс. (%)  | 12 (80)  | 54 (51,4)  | 0,051  | 
CYP2D6*4 (G1846A) GA, абс. (%)  | 3 (20)  | 51 (48,6)  | 0,051  | 
М-эхо, мм, Me (Q1–Q3)  | 12 (10–14)  | 4 (3–6)  | <0,001*  | 
ГЭ, абс. (%)  | 13 (86,7)  | 11 (10,5)  | <0,001*  | 
Приливы сильные– очень сильные, абс. (%)  | 8 (53,3)  | 19 (18,1)  | 0,005*  | 
Астения, абс. (%)  | 10 (66,7)  | 35 (33,3)  | 0,021*  | 
Таблица 3. Сравнение клинических, анамнестических и генетических данных между подгруппами пациентов в зависимости от наличия или отсутствия ПЭ
Table 3. Comparison of clinical, history, and genetic data between subgroups of patients, depending on the presence or absence of endometrial polyps (EP)
Показатель  | Группа с ПЭ (n=13)  | Группа без ПЭ (n=107)  | p  | 
CYP3A5 CC(A6986G) AG, абс. (%)  | 4 (30,8)  | 12 (11,2)  | 0,072  | 
Возраст, М±SD, (95% ДИ)  | 43,8±4,7 (41–46,7)  | 47,3±8,11 (45,8–48,9)  | 0,035*  | 
Снижение массы, кг, Me (Q1–Q3)  | 0 (0–2)  | 0 (0–0)  | <0,001*  | 
Снижение массы, абс. (%)  | 4 (30,8)  | 1 (0,9)  | <0,001*  | 
*Статистически значимая закономерность (p<0,05).  | |||
На наш взгляд, эти корреляции лишь подтверждают фармакодинамические эффекты ТАМ на эндокринную систему женщины (ТАМ – агонист рецепторов эстрогена в эндометрии) [4], что может служить косвенным признаком достаточной концентрации препарата в плазме крови и/или высокой приверженности пациенток с РМЖ терапии ТАМ.
На основании полученных данных сравнительного ассоциативного анализа разработаны и опубликованы ранее [7] прогностические модели вероятности развития таких системных НЛР ТАМ при эндокринотерапии РМЖ, как приливы, астения, боли в костях и диспепсия, которые показали высокую (>70%) чувствительность и специфичность наряду с высокой (>70%) прогностической эффективностью. Поиск предикторов вероятности развития отдельных локальных гинекологических симптомов не удался по причине низкой чувствительности и специфичности полученных прогностических моделей (<20%).
Тем не менее с учетом высокой суммарной оценки частоты встречаемости локальных гинекологических симптомов (%ГЭ+ + %АМК + %ПЭ =43,3%) и наличием достоверных ассоциативных связей между локальными и системными НЛР, а также генетическими и негенетическими параметрами, в том числе клиническими и анамнестическими данными, полученными ранее [8, 9], нами впервые разработана прогностическая модель для определения вероятности развития комбинированной конечной точки (ГЭ, ПЭ и АМК). Полученная достоверная (p<0,001) модель из 9 предикторов с учетом коэффициента детерминации Найдлжеркерка включает 40% факторов, определяющих развитие комбинированной конечной точки. Наблюдаемая зависимость описывается уравнением:
p=1/(1+e-z)×100%.
z=-1,67+1,08×XСнижение массы-0,69×XМенопауза--0,035×XВозраст+1,33×XАстения+1,08×XКол-во родов+ +0,374×XКол-во беременностей+0,614×XABCB1TT+1,61× ×XCYP2D6*4GG+0,66×XCYP3A5*3GG,
где p – вероятность развития комбинированной конечной точки (ПЭ, ГЭ, АМК; в долях единицы); XСнижение_массы – снижение массы тела в течение лечения, кг; XМенопауза – наличие менопаузы (0 – нет, 1 – есть) ; XВозраст – возраст, лет; XАстения – наличие астении (0 – нет, 1 – есть); XКол-во родов – количество родов; XКол-во беременностей – количество беременностей; XABCB1 3435TT – наличие генотипа ТТ полиморфного варианта ABCB1 3435 (0 – нет, 1 – есть); XCYP2D6*4GG – наличие генотипа GG полиморфного варианта CYP2D6*4 (0 – нет, 1 – есть); XCYP3A5*3GG – наличие генотипа GG полиморфного варианта CYP3A5*3 (0 – нет, 1 – есть).
Исходя из значений регрессионных коэффициентов, такие факторы, как снижение массы тела, наличие астении, увеличение количества родов, наличие генотипа ТТ полиморфного варианта ABCB1 3435, наличие генотипа GG полиморфного варианта CYP2D6*4, GG полиморфного варианта CYP3A5*3, имеют прямую связь с вероятностью развития комбинированной конечной точки локальных гинекологических симптомов (ГЭ+ПЭ+АМК). В то же время наличие менопаузы, увеличение количества беременностей в анамнезе и увеличение возраста женщины уменьшают вероятность развития комбинированной конечной точки (ГЭ+ПЭ+АМК), так как имеют обратную связь (рис. 2). Факторы, расположенные слева от красной стрелки (направленной вверх), отражают прямую связь с клинико-анамнестическими и генетическими детерминантами, тем самым способствуя росту риска комбинированной конечной точки, а факторы, расположенные слева от синей стрелки (направленной вниз), – обратную связь, указывая на снижение риска возникновения комбинации локальных гинекологических симптомов. Следует отметить, что под увеличением количества родов и беременностей в данной модели подразумевается количественный параметр ≥1, выраженный в абсолютных числах (1, 2, 3, 4 и более), а остальные параметры представлены в виде качественных переменных (0 – есть или 1 – нет).
Рис. 2. Схематичное изображение прогностической модели развития комбинированной конечной точки локальных гинекологических симптомов (ГЭ+ПЭ+АМК) у пациенток с РМЖ, находящихся на терапии ТАМ.
Fig. 2. Schematic representation of a prognostic model of the occurrence of a composite endpoint of local gynecological symptoms (EH+EP+AUB) in patients with breast cancer on tamoxifen therapy.
В табл. 4 представлены параметры связи каждого из предикторов модели, включающих как клинико-анамнестические данные, так и генетические факторы, отвечающие за метаболизм и транспорт ТАМ, с шансами развития комбинированной конечной точки локальных гинекологических симптомов.
Таблица 4. Оценка связи предикторов модели с шансами развития комбинированной конечной точки локальных гинекологических симптомов
Table 4. Evaluation of the association of model predictors with the probability of occurrence of the composite endpoint of local gynecological symptoms
Предиктор  | COR (95% ДИ)  | p  | AOR (95% ДИ)  | p  | 
Снижение массы тела  | 2,4 (0,93–6,13)  | 0,07  | 2,94 (0,98–8,8)  | 0,054  | 
Наличие менопаузы  | 0,55 (0,23–1,3)  | 0,160  | 0,5 (0,14–1,8)  | 0,302  | 
Возраст  | 0,96 (0,9–1,01)  | 0,113  | 0,97 (0,89–1,05)  | 0,393  | 
Астения  | 3,2 (1,3–7,3)  | 0,009*  | 3,78 (1,3–11)  | 0,014*  | 
Количество родов  | 1,8 (1,02–3,1)  | 0,041*  | 2,94 (1,13–7,66)  | 0,027*  | 
Количество беременностей  | 0,97 (0,76–1,2)  | 0,804  | 0,689 (0,42–1,12)  | 0,132  | 
ТТ ABCB1 3435  | 2,77 (1,16–6,6)  | 0,021*  | 1,85 (0,64–5,3)  | 0,255  | 
GG CYP2D6*4  | 2,6 (1,07–6,4)  | 0,035*  | 5 (1,6–15,6)  | 0,006*  | 
GG CYP3A5*3  | 1,15 (0,49–2,7)  | 0,746  | 1,9 (0,66–5,59)  | 0,227  | 
*Связь с предиктором статистически значима.  | ||||
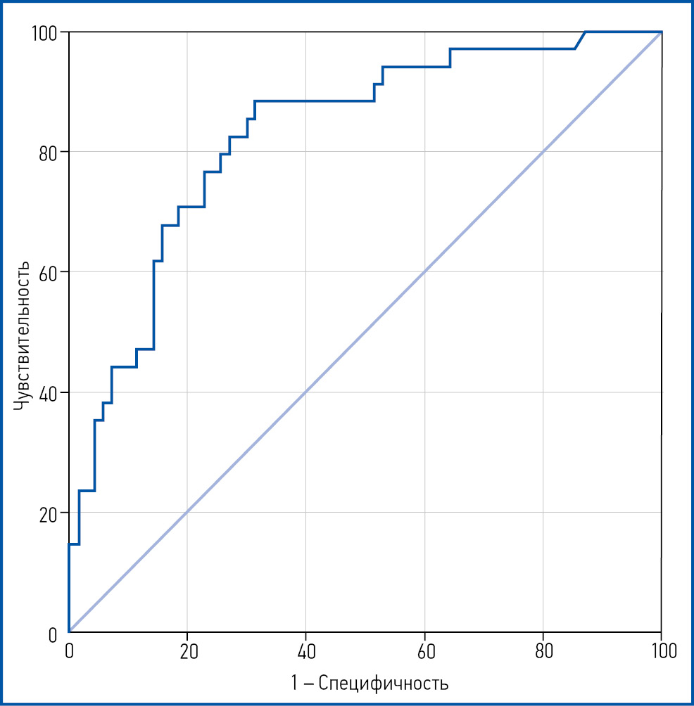
Для подтверждения полученных результатов дополнительно с помощью ROC-анализа определено наиболее оптимальное значение прогностической функции p и построена ROC-кривая (рис. 3).
Рис. 3. ROC-кривая, характеризующая зависимость прогноза комбинированной конечной точки от значения логистической функции p.
Fig. 3. ROC-curve characterizing the relationship of the probability of the combined endpoint with the logistic function p-value.
Площадь под ROC-кривой составила 0,827±0,043 (95% доверительный интервал – ДИ 0,743–0,911). Значение логистической функции p в точке сut-off – 0,273. Пациентам со значениями p, равными 0,273 или выше, предсказывался высокий риск развития ГЭ, ПЭ и АМК, а при p<0,273 – низкий риск.
Чувствительность модели при выбранном значении точки cut-off составила 82,4% (28 верных прогнозов из 34 случаев комбинированной конечной точки), специфичность – 72,9% (51 верный прогноз из 70 случаев отсутствия развития комбинированной конечной точки). Общая диагностическая эффективность – 76%. Согласно результатам независимыми предикторами развития комбинированной конечной точки являются наличие астении, количество родов, наличие генотипа GG полиморфного варианта CYP2D6*4, генотипа ТТ полиморфного варианта ABCB1 3435 и GG полиморфного варианта CYP3A5*3.
Заключение
Результаты исследования полностью подтвердили гипотезу об участии как клинико-анамнестических, так и генетических детерминант в развитии гинекологических осложнений, а именно что предикторами комбинации локальных гинекологических НЛР (ГЭ, ПЭ и АМК) являются такие факторы, как снижение массы тела, наличие астении, увеличение количества родов, носительство генотипа ТТ полиморфного варианта ABCB1 3435 и генотипа GG полиморфного варианта CYP2D6*4, GG полиморфного варианта CYP3A5*3. Полученная в данном исследовании у женщин с РМЖ, принимающих ТАМ, достаточно высокая частота встречаемости локальных гинекологических симптомов (ГЭ и ПЭ, АМК), составляющая 43,3%, требует регулярного мониторинга со стороны акушеров-гинекологов, в том числе инструментального (трансвагинального ультразвукового исследования).
Проведенный комплексный ассоциативный анализ позволил впервые с использованием математического моделирования построить прогностическую модель риска развития комбинации локальных гинекологических симптомов, включающих ГЭ, ПЭ и АМК, которые являются закономерным проявлением фармакодинамических эффектов ТАМ как агониста рецепторов эстрогена в эндометрии у женщин с РМЖ. Полученный результат определяет необходимость повышенной настороженности врачей акушеров-гинекологов в отношении гиперпластических процессов эндометрия у женщин с РМЖ, находящихся на эндокринотерапии ТАМ, и, соответственно, разработки мер их профилактики. Кроме того, данная прогностическая модель продемонстрировала высокую диагностическую эффективность, что позволяет имплементировать ее в клиническую практику акушера-гинеколога, в том числе с помощью программ поддержки принятия врачебных решений.
Раскрытие интересов. Авторы декларируют отсутствие явных и потенциальных конфликтов интересов, связанных с публикацией настоящей статьи.
Disclosure of interest. The authors declare that they have no competing interests.
Вклад авторов. Авторы декларируют соответствие своего авторства международным критериям ICMJE. Все авторы в равной степени участвовали в подготовке публикации: разработка концепции статьи, получение и анализ фактических данных, написание и редактирование текста статьи, проверка и утверждение текста статьи.
Authors’ contribution. The authors declare the compliance of their authorship according to the international ICMJE criteria. All authors made a substantial contribution to the conception of the work, acquisition, analysis, interpretation of data for the work, drafting and revising the work, final approval of the version to be published and agree to be accountable for all aspects of the work.
Информированное согласие на публикацию. Пациентки подписали форму добровольного информированного согласия на публикацию медицинской информации.
Consent for publication. Written consent was obtained from the patients for publication of relevant medical information and all of accompanying images within the manuscript.
Соответствие принципам этики. Протокол исследования был одобрен локальным этическим комитетом ФГБОУ ДПО РМАНПО (протоколы №1 от 17.01.2017 и №2 от 15.02.2023). Одобрение и процедуру проведения протокола получали по принципам Хельсинкской декларации.
Compliance with the principles of ethics. The study protocol was approved by the local ethics committee (protocols №1 dated 17.01.2017 and №2 dated 15.02.2023). Aproval and protocol procedure was obtained according to the principles of the Declaration of Helsinki.
Источник финансирования. Работа выполнена в рамках госзадания ЕГИСУ НИОКТР №121110800062–6 «Новые фармакогенетические биомаркеры безопасности фармакотерапии некоторых социально значимых заболеваний».
Funding source. The study was carried out as a part of the State Assignment of the Integrated National Information System of Non-Military Research, Development, and Engineering No. 121110800062-6 "Novel pharmacogenetic biomarkers of the safety of pharmacotherapy of certain socially significant wdiseases".
Благодарности. Коллектив авторов выражает благодарность исполнителю генетических исследований научному сотруднику НИЦ ФГБОУ ДПО РМАНПО Ж.А. Созаевой.
Acknowledgements. The authors express gratitude to Zh.A. Sozayeva, a researcher at the Russian Medical Academy of Continuous Professional Education, for performing genetic studies.
About the authors
Ekaterina O. Golubenko
Russian Medical Academy of Continuous Professional Education
														Email: kate.golubenko@yandex.ru
				                	ORCID iD: 0000-0002-6968-862X
				                																			                								
obstetrician-gynecologist
Russian Federation, MoscowMarina I. Savelyeva
Yaroslavl State Medical University
														Email: marinasavelyeva@mail.ru
				                	ORCID iD: 0000-0002-2373-2250
				                	SPIN-code: 2434-6458
																		                								
D. Sci. (Med.)
Russian Federation, YaroslavlVera V. Korennaya
Russian Medical Academy of Continuous Professional Education; City Clinical Hospital №52
														Email: drkorennaya@mail.ru
				                	ORCID iD: 0000-0003-1104-4415
				                																			                								
Cand. Sci. (Med.), Russian Medical Academy of Continuous Professional Education, City Clinical Hospital №52
Russian Federation, Moscow; MoscowNatalia M. Podzolkova
Russian Medical Academy of Continuous Professional Education; Botkin City Clinical Hospital
														Email: podzolkova@gmail.com
				                	ORCID iD: 0000-0002-8204-8336
				                																			                								
D. Sci. (Med.), Prof., Russian Medical Academy of Continuous Professional Education, Botkin City Clinical Hospital
Russian Federation, Moscow; MoscowTimur T. Valiev
Russian Medical Academy of Continuous Professional Education; Blokhin National Medical Research Center of Oncology; Sechenov First Moscow State Medical University (Sechenov University)
							Author for correspondence.
							Email: editor@omnidoctor.ru
				                	ORCID iD: 0000-0002-1469-2365
				                																			                								
D. Sci. (Med.), Russian Medical Academy of Continuous Professional Education, Blokhin National Medical Research Center of Oncology, Sechenov First Moscow State Medical University (Sechenov University)
Russian Federation, Moscow; Moscow; MoscowReferences
- Huang B, Warner M, Gustafsson JA. Estrogen receptors in breast carcinogenesis and endocrine therapy. Mol Cell Endocrinol. 2015;418(Pt3):240-4. doi: 10.1016/j.mce.2014.11.015
 - Rugo HS, Rumble RB, Macrae E, et al. Endocrine therapy for hormone receptor-positive metastatic breast cancer: American society of clinical oncology guideline. J Clin Oncol. 2016;34(25):3069-103. doi: 10.1200/JCO.2016.67.1487
 - Early Breast Cancer Trialists' Collaborative G. Effects of chemotherapy and hormonal therapy for early breast cancer on recurrence and 15-year survival: an overview of the randomised trials. Lancet. 2005;365(9472):1687-717. doi: 10.1016/S0140-6736(05)66544-0
 - Чернуха Г.Е., Думановская М.Р. Современные представления о гиперплазии эндометрия. Акушерство и гинекология. 2013;3:26-32 [Chernukha GE, Dumanovskaia MR. Sovremennyie predstavleniia o giperplazii endometriia. Akusherstvo i ginekologiia. 2013;3:26-32 (in Russian)].
 - Neven P, Vernaeve H. Guidelines for monitoring patients taking tamoxifen treatment. Drug Saf. 2000;22(1):1-11. doi: 10.2165/00002018-200022010-00001
 - Чекалова М.А., Шабанов М.А., Захарова Т.И., Колпакова М.Н. Значение морфоультразвуковых сопоставлений в комплексной ультразвуковой диагностике рака тела матки. Опухоли женской репродуктивной системы. 2010;(1):59-63 [Chekalova MA, Shabanov MA, Zakharova TI, Kolpakova MN. Significance of ultrasound morphological comparisons in the complex ultrasound diagnosis of the cervix uteri. Tumors of Female Reproductive System. 2010;(1):59-63 (in Russian)]. doi: 10.17650/1994-4098-2010-0-1-59-63
 - Golubenko EO, Savelyeva MI, Sozaeva ZhA, et al. Predictive modeling of adverse drug reactions to tamoxifen therapy for breast cancer on base of pharmacogenomic testing. Drug Metab Personalized Ther. 2023;38(4). doi: 10.1515/dmpt-2023-0027
 - Савельева М.И., Голубенко Е.О., Созаева Ж.А., и др. Анализ осложнений эндокринотерапии тамоксифеном при раке молочной железы: клинические и фармакогенетические аспекты. Современная Онкология. 2022;24(3):361-7 [Savelyeva MI, Golubenko EO, Sozaeva ZA, et al. Analysis of the complications of endocrine therapy with tamoxifen in breast cancer: clinical and pharmacogenetic aspects. Prospective pharmacogenetic cohort study. Journal of Modern Oncology. 2022;24(3):361-7 (in Russian)]. doi: 10.26442/18151434.2022.3.201783
 - Голубенко Е.О., Савельева М.И., Созаева Ж.А., и др. Клиническое значение генетического полиморфизма ферментов метаболизма и транспортеров тамоксифена при раке молочной железы: результаты популяционного когортного исследования. Фарматека. 2022;29(11):28-36 [Golubenko EO, Savel'yeva MI, Sozayeva ZHA, et al. Klinicheskoe znacheniie geneticheskogo polimorfizma fermentov metabolizma i transporterov tamoksifena pri rake molochnoi zhelezy: rezul'taty populiatsionnogo kogortnogo issledovaniia. Farmateka. 2022;29(11):28-36 (in Russian)]. doi: 10.18565/pharmateca.2022.11.00-0
 
Supplementary files
				
			
					
						
						
				





