О связи структурных и реологических параметров дорожных битумов
- 作者: Дударева Т.В.1, Красоткина И.А.1, Горбатова В.Н.1, Гордеева И.В.1
-
隶属关系:
- Федеральный исследовательский Центр химической физики им. Н. Н. Семенова РАН
- 期: 卷 65, 编号 3 (2025)
- 页面: 182-192
- 栏目: Articles
- URL: https://modernonco.orscience.ru/0028-2421/article/view/688785
- DOI: https://doi.org/10.31857/S0028242125030022
- EDN: https://elibrary.ru/LCXHNZ
- ID: 688785
如何引用文章
全文:
详细
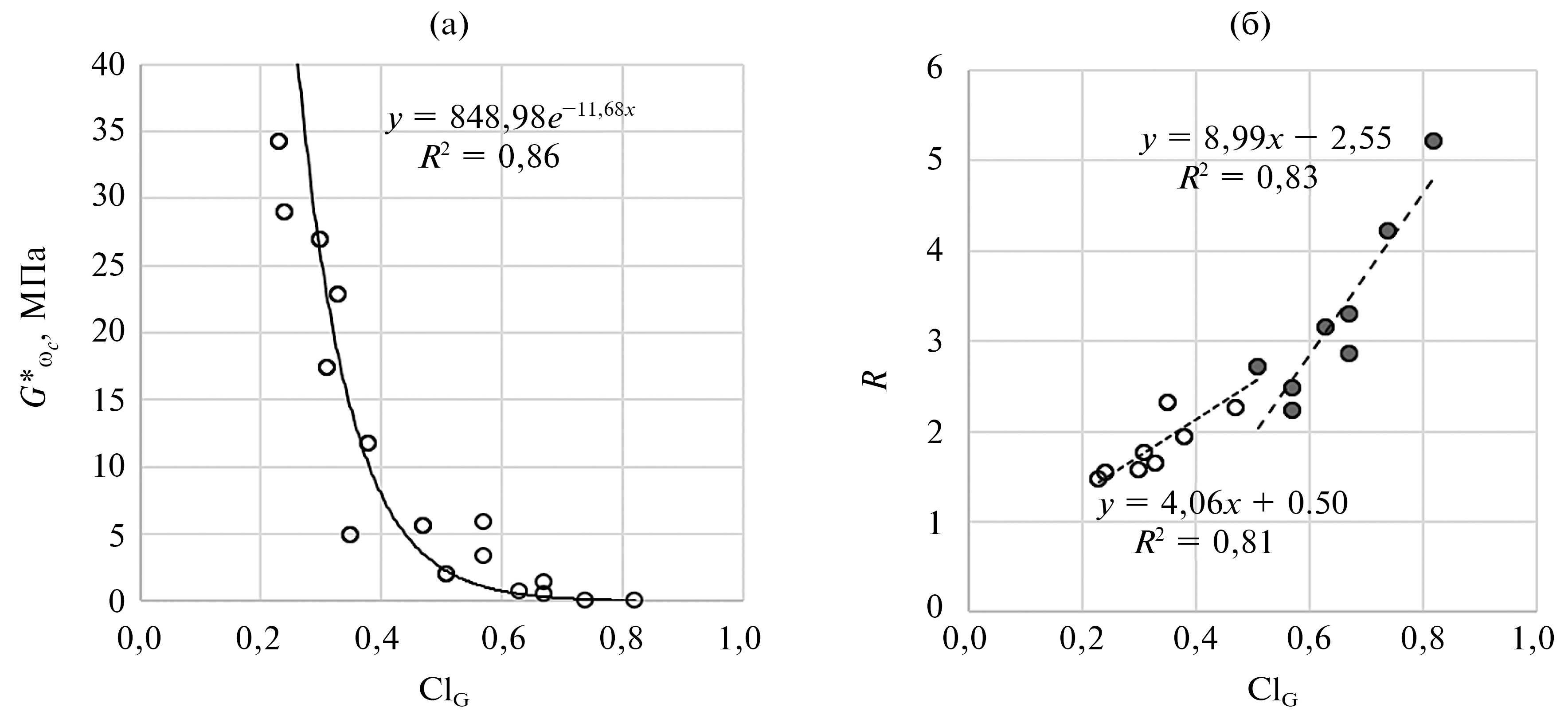
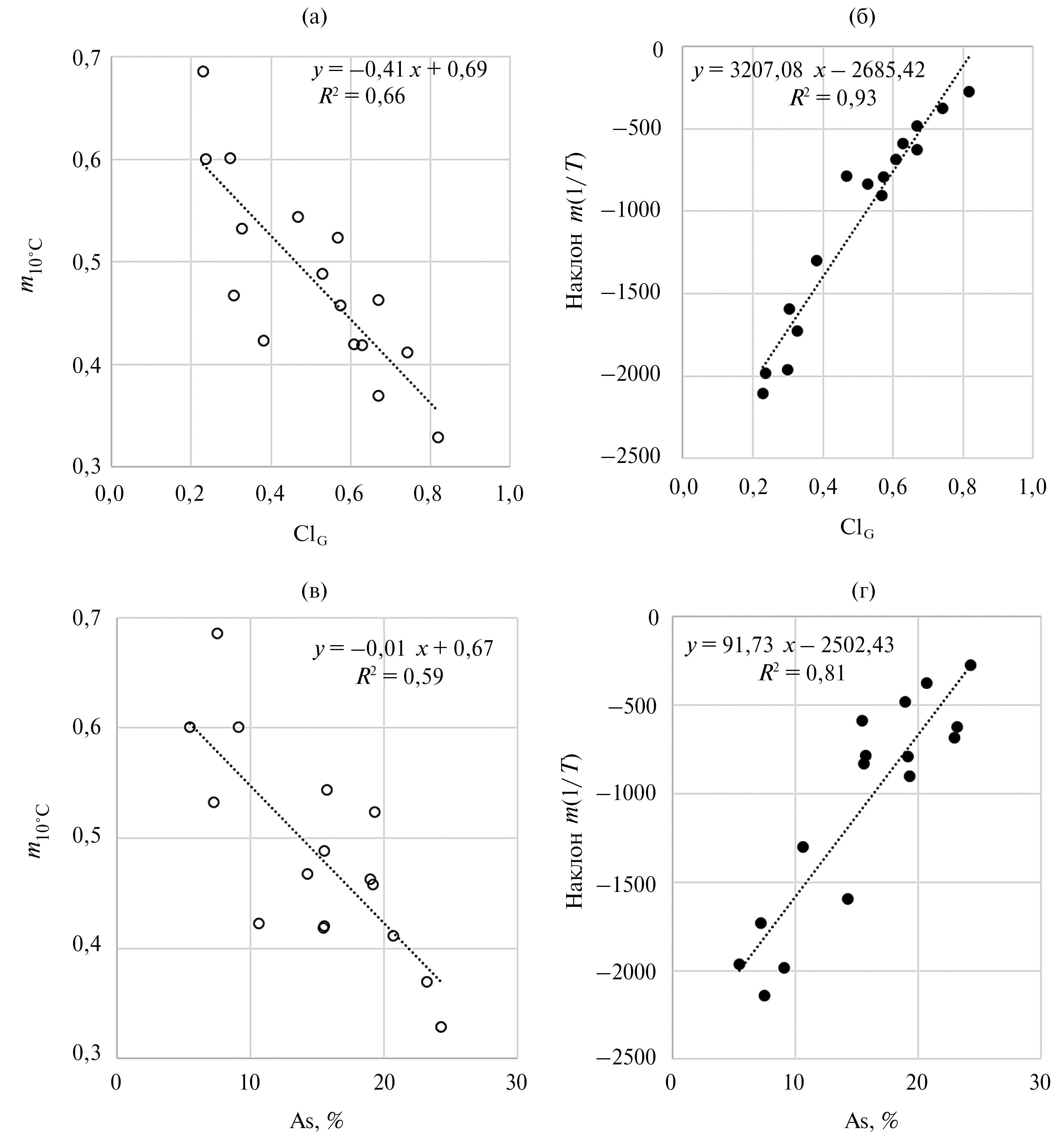
Исследован групповой химический состав восьми российских дорожных битумов с диапазоном пенетрации от 60 до 115 × 0,1 мм, четыре из которых были подвергнуты процедурам кратковременного и долгосрочного термоокислительного старения. С целью оценки наличия взаимосвязей между структурными параметрами, реологическими параметрами и параметрами модели Кристенсена –Андерсона в температурном диапазоне от 35 до –11°C, выполнены реологические исследования двумя вариантами испытания частотной развертки. Оценено влияние сложности термореологического поведения образцов на сходимость экспериментальных и расчетных данных комплексного модуля. Показана связь коллоидного индекса Гестеля (CIG) и температурной границы соблюдения принципа температурно-временной суперпозиции. Исследованы температурные зависимости параметра m, определяемого из первой части усталостного теста линейной амплитудной развертки, и показана корреляция этого параметра с обратной температурой, что позволяет рассматривать наклон кривой m(1/T) пропорциональным энергии активации, связанной со стойкостью образца к нарастанию дефектов при циклической нагрузке. Показана корреляция наклона кривой m(1/T) с реологическим индексом (R) в зависимости от сложности термореологического поведения образцов1.
1 Дополнительные материалы доступны в электронном виде по DOI статьи: 10.31857/S0028242125030022
全文:
作者简介
Татьяна Дударева
Федеральный исследовательский Центр химической физики им. Н. Н. Семенова РАН
编辑信件的主要联系方式.
Email: yanadva@mail.ru
ORCID iD: 0000-0001-9698-8591
SPIN 代码: 3351-9648
старший научный сотрудник
俄罗斯联邦, Москва, 119991Ирина Красоткина
Федеральный исследовательский Центр химической физики им. Н. Н. Семенова РАН
Email: yanadva@mail.ru
ORCID iD: 0000-0002-1047-079X
SPIN 代码: 2762-5473
старший научный сотрудник
俄罗斯联邦, Москва, 119991Виктория Горбатова
Федеральный исследовательский Центр химической физики им. Н. Н. Семенова РАН
Email: yanadva@mail.ru
ORCID iD: 0000-0003-1592-345X
SPIN 代码: 6985-5221
младший научный сотрудник
俄罗斯联邦, Москва, 119991Ирина Гордеева
Федеральный исследовательский Центр химической физики им. Н. Н. Семенова РАН
Email: yanadva@mail.ru
ORCID iD: 0000-0002-9879-3701
SPIN 代码: 9635-6367
и. о. зав. лабораторией, к. т. н., н. с.
俄罗斯联邦, Москва, 119991参考
- Porto M., Angelico R., Caputo P., Abe A.A., Teltayev B., Rossi C.O. The Structure of bitumen: conceptual models and experimental evidences // Materials. 2022. V. 15, № 3. ID 905. https://doi.org/10.3390/ma15030905
- Hofko B., Eberhardsteiner L., Füss J., Grothe H., Handle F., Hospodka M., Grossegger D., Nahar S., Schmets A., Skarpas A. Impact of maltene and asphaltene fraction on mechanical behavior and microstructure of bitumen // Mater. Struct. 2015. V. 49. P. 829–841. https://doi.org/10.1617/s11527-015-0541-6
- Wang J., Wang T., Hou X., Xiao F. Modelling of rheological and chemical properties of asphalt binder considering SARA fraction // Fuel. 2019. V. 238. P. 320–330. https://doi.org/10.1016/j.fuel.2018.10.126
- Sultana S., Bhasin A. Effect of chemical composition on rheology and mechanical properties of asphalt binder // Constr. Build. Mater. 2014. V. 72. P. 293–300. https://doi.org/10.1016/j.conbuildmat.2014.09.022
- Soenen H., Redelius P. The effect of aromatic interactions on the elasticity of bituminous binders // Rheol. Acta. 2014. V. 53. P. 741–754. https://doi.org/10.1007/s00397-014-0792-0
- Redelius P., Soenen H. Relation between bitumen chemistry and performance // Fuel. 2015. V. 140. P. 34–43. http://dx.doi.org/10.1016/j.fuel.2014.09.044
- Fischer H.R., Mookhoek S. A study of the influence of the microstructure of one type of bitumen grade on the performance as a binder // Constr. Build. Mater. 2016. V. 117. P. 1‒7. https://doi.org/10.1016/j.conbuildmat.2016.04.129
- Kumar V.K., Rajan N.K., Devi V.V., Kaushik G. Relationship between Gaestel Index and rheology of blended bitumens // AIP Conf. Proc. 2022. V. 2452. ID 020006. https://doi.org/10.1063/5.0118092
- Remisova E., Briliak D., Holy M. Evaluation of Thermo-Viscous Properties of Bitumen Concerning the Chemical Composition // Materials. 2023. V. 16. ID 1379. https://doi.org/10.3390/ma16041379
- Gordeeva I.V., Dudareva T.V., Krasotkina I.A., Gorbatova V.N., Nikol’skii V.G., Zvereva U.G., Obukhov A.G. Bitumen Resistance to Plastic Deformation at High Temperatures // Petrol. Chemistry. 2023. V. 63, № 5. P. 518–530. https://doi.org//10.1134/S0965544123050080
- Soenen H., Besamusca J., Fischer H.R., Poulikakos L.D., Planche J.-P., Das P.K., Kringos N., Grenfell J.R.A., Lu X., Chailleux E. Laboratory investigation of bitumen based on round robin DSC and AFM tests. // Mater. Struct. 2014. V. 47. P. 1205–1220. https://doi.org/10.1617/s11527-013-0123-4
- Laukkanen O.-V., Soenen H. Rheological characterization of wax modified bituminous binders: Effect of specimen preparation and thermal history // Constr. Build. Maters. 2015. V. 95. P. 269–278. https://doi.org/10.1016/j.conbuildmat.2015.07.065
- Masson J.-F., Leblond V., Margeson J. Bitumen morphologies by phase-detection atomic force microscopy // J. Microsc. 2006. V. 221, № 1. P. 17–29. https://doi.org/10.1111/j.1365-2818.2006.01540.x
- Lu X., Langton M., Olofsson P., Redelius P. Wax morphology in bitumen // J. Mater. Sci. 2005. V. 40 P. 1893–1900. https://doi.org/10.1007/s10853-005-1208-4
- De Moraes M.B., Pereira R.B., Simão R.A., Leite L.F. High temperature AFM study of CAP 30/45 pen grade bitumen // J. Microsc. 2010. V. 239, № 1. P. 46–53. https://doi.org/10.1111/j.1365-2818.2009.03354.x
- Фролов И.Н., Юсупова Т.Н., Зиганшин М.А., Охотникова Е.С., Фирсин А.А. Особенности формирования коллоидной дисперсной структуры в нефтяном битуме // Коллоидный журнал. 2016. Т. 78, № 5. С. 650‒654. https://doi.org/10.7868/S0023291216050062
- Yousefi A.A. The thermo-rheological behavior of bitumen // Prog. Color, Color. Coat. 2008. V. 1. P. 45–55. https://doi.org/10.30509/pccc.2008.75707
- Md. Yusoff N.I., Jakarni F.M., Nguyen V.H., Hainin M.R. Modelling the rheological properties of bituminous binders using mathematical equations // Constr. Build. Maters. 2013. V. 40. P. 174–188. https://doi.org/10.1016/j.conbuildmat.2012.09.105
- Petersen J.C., Robertson R.E., Branthaver J.F., Harnsberger P.M., Duvall J.J., Kim S.S., Anderson D.A., Christiansen D.W., Bahia H.U. Binder characterization and evaluation. V. 1 (SHRP-A-367). National Academy of Sciences, Washington, DC, 1994.
- Standard method of test for estimating fatigue resistance of asphalt binders using the linear amplitude sweep. AASHTO designation T391-20. Washington, DC, 2021.
- Панюкова Д.И., Осипов К., Савонина Е.Ю., Марютина Т.А. Сравнение результатов определения группового углеводородного состава нефтяных образцов, полученных с применением различных методик жидкостной адсорбционной хроматографии // Заводская лаборатория. Диагностика материалов. 2025. Т. 91, № 1. С. 5–14. https://doi.org/10.26896/1028-6861-2025-91-1-5-14
- Fan T., Wang J., Buckley J.S. Evaluating Crude Oils by SARA Analysis. Paper presented at the SPE/DOE Improved Oil Recovery Symposium, Tulsa, Oklahoma, April 2002. https://doi.org/10.2118/75228-MS
- Bissada K.K., Tan J., Szymczyk E., Darnell M., Mei M. Group-type characterization of crude oil and bitumen. Part I: Enhanced separation and quantification of saturates, aromatics, resins and asphaltenes (SARA) // Organic Geochemistry. 2016. V. 95. P. 21–28. https://doi.org/10.1016/j.orggeochem.2016.02.007
- Gaestel C., Smadja R., Lamminan K.A. Contribution à la connaissance des propriétés des bitumes routiers // Rev. Generale Routes Aérodromes. 1971. V. 466. P. 85‒97.
- Polacco G., Filippi S. Master curves construction for viscoelastic functions of bituminous materials // Appl. Rheol. 2024. V. 34, № 1. ID 20230117. https://doi.org/10.1515/arh-2023-0117
- Masson J.-F., Leblond V., Margeson J., Bundalo-Perc S. Low-temperature bitumen stiffness and viscous paraffinic nano-and micro-domains by cryogenic AFM and PDM // J. Microsc. 2007. V. 227, № 3. P. 191‒202. https://doi.org/10.1111/j.1365-2818.2007.01796.x
- Gorbatova V.N., Gordeeva I.V., Dudareva T.V., Krasotkina I.A., Nikol'skii V.G., Egorov V.M. Effect of the active powder of discretely devulcanized rubber on bitumen properties at low temperatures // Nanotechnol. Constr. 2023. V. 15, № 1. P. 72–83. https://doi.org/10.15828/2075-8545-2023-15-1-72-83
- Musser B.J., Kilpatrik P.K. Molecular characterization of wax isolated from a variety of crude oils // Energy Fuels. 1998. V. 12, № 4. P. 715–725. https://doi.org/10.1021/ef970206u
- Kane M., Djabourov M., Volle J.L., Lechaire J.P., Frebourg G. Morphology of paraffin crystals in waxy crude oils cooled in quiescent conditions and under flow // Fuel. 2003. V. 82, № 2. P. 127–135. https://doi.org/10.1016/S0016-2361(02)00222-3
- Hintz C., Velasquez R., Johnson C., Bahia H. Modification and validation of linear amplitude sweep test for binder fatigue specification // Transportation Research Record (TRR). 2011. V. 2207, № 1. P. 99–106 https://doi.org/10.3141/2207-13
- Schapery R.A. A theory of mechanical behavior of elastic media with growing damage and other changes in structure // J. Mech. Phys. Solids. 1990. V. 38, № 2. P. 215–253. https://doi.org/10.1016/0022-5096(90)90035-3
- Johnson C.M. Estimating asphalt binder fatigue resistance using an accelerated test method. PhD Diss. 2010. University of Wisconsin – Madison. https://uwmarc.wisc.edu/files/linearamplitudesweep/CMJ_PhD_Thesis-100608_Final.pdf
补充文件








